Du kennst schon lineare Funktionen, aber jetzt wird's dreidimensional! Geraden... Mehr anzeigen
Melde dich an, um den Inhalt zu sehenKostenlos!
Zugriff auf alle Dokumente
Verbessere deine Noten
Schließ dich Millionen Schülern an
Knowunity KI
Fächer
Triangle Congruence and Similarity Theorems
Triangle Properties and Classification
Linear Equations and Graphs
Geometric Angle Relationships
Trigonometric Functions and Identities
Equation Solving Techniques
Circle Geometry Fundamentals
Division Operations and Methods
Basic Differentiation Rules
Exponent and Logarithm Properties
Alle Themen anzeigen
Human Organ Systems
Reproductive Cell Cycles
Biological Sciences Subdisciplines
Cellular Energy Metabolism
Autotrophic Energy Processes
Inheritance Patterns and Principles
Biomolecular Structure and Organization
Cell Cycle and Division Mechanics
Cellular Organization and Development
Biological Structural Organization
Alle Themen anzeigen
Chemical Sciences and Applications
Atomic Structure and Composition
Molecular Electron Structure Representation
Atomic Electron Behavior
Matter Properties and Water
Mole Concept and Calculations
Gas Laws and Behavior
Periodic Table Organization
Chemical Thermodynamics Fundamentals
Chemical Bond Types and Properties
Alle Themen anzeigen
European Renaissance and Enlightenment
European Cultural Movements 800-1920
American Revolution Era 1763-1797
American Civil War 1861-1865
Global Imperial Systems
Mongol and Chinese Dynasties
U.S. Presidents and World Leaders
Historical Sources and Documentation
World Wars Era and Impact
World Religious Systems
Alle Themen anzeigen
Classic and Contemporary Novels
Literary Character Analysis
Rhetorical Theory and Practice
Classic Literary Narratives
Reading Analysis and Interpretation
Narrative Structure and Techniques
English Language Components
Influential English-Language Authors
Basic Sentence Structure
Narrative Voice and Perspective
Alle Themen anzeigen
780
•
Aktualisiert Apr 26, 2026
•
nora
@nora_aqgn
Du kennst schon lineare Funktionen, aber jetzt wird's dreidimensional! Geraden... Mehr anzeigen





Die Parameterform ist dein Werkzeug, um jede Gerade im Raum zu beschreiben: \vec{x} = \vec{p} + r \cdot \vec{u}. Der Stützvektor \vec{p} ist ein fester Punkt auf der Geraden, der Richtungsvektor \vec{u} zeigt dir, wohin die Gerade läuft.
Um Punkte auf der Geraden zu finden, setzt du einfach verschiedene Werte für r ein. Bei r = 0 bekommst du den Stützpunkt zurück, bei r = 1 gehst du einmal den Richtungsvektor weiter.
Willst du überprüfen, ob ein Punkt auf der Geraden liegt, gleichst du die Koordinaten mit der Parameterform ab. Bekommst du für alle drei Gleichungen den gleichen r-Wert, liegt der Punkt auf der Geraden - sonst nicht!
Tipp: Der Parameter r kann auch negativ sein - dann gehst du in die entgegengesetzte Richtung!

Aus zwei Punkten A und B erstellst du eine Parametergleichung: Nimm einen Punkt als Stützvektor und berechne den Richtungsvektor durch \vec{AB} = \vec{b} - \vec{a}.
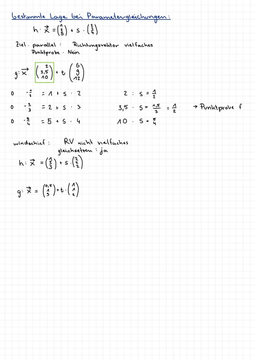
Bei der Lage von Geraden gibt es vier Möglichkeiten: identisch (gleiche Punkte), parallel (verschoben), schneidend (ein gemeinsamer Punkt) oder windschief (keine Gemeinsamkeiten).
Der Trick: Prüfe zuerst, ob die Richtungsvektoren Vielfache voneinander sind. Falls ja, mache eine Punktprobe - liegt ein Punkt der einen Geraden auf der anderen? Dann sind sie identisch, sonst parallel.
Falls die Richtungsvektoren keine Vielfachen sind, gleichsetzen: Gibt's eine Lösung, schneiden sie sich. Keine Lösung bedeutet windschief.
Merkhilfe: Windschief gibt's nur im 3D-Raum - in der Ebene sind Geraden entweder parallel oder schneidend!

Orthogonale Geraden schneiden sich im rechten Winkel (90°). Um das zu prüfen, rechnest du das Skalarprodukt der Richtungsvektoren aus - ist es null, sind die Geraden orthogonal.
Für beliebige Winkel zwischen Geraden nutzt du die Formel: cos(α) = \frac{\vec{u₁} \cdot \vec{u₂}}{|\vec{u₁}| \cdot |\vec{u₂}|}. Dann rechnest du mit arccos den Winkel aus.
Den Abstand zwischen zwei Punkten auf verschiedenen Geraden berechnest du mit der bekannten Abstandsformel: d = \sqrt{² + ² + ²}.
Achtung: Die Winkelformel gibt dir immer einen Wert zwischen 0° und 180° - das ist der kleinere der beiden möglichen Winkel!

Hier wird's systematisch: Zuerst checkst du die Richtungsvektoren - sind sie Vielfache voneinander? Falls ja, Punktprobe machen: Setze einen beliebigen Punkt der ersten Geraden in die zweite ein.
Bei der Punktprobe musst du für alle Koordinaten den gleichen Parameter-Wert bekommen. Klappt das, sind die Geraden identisch - sonst parallel.
Sind die Richtungsvektoren keine Vielfachen, gleichst du die beiden Parametergleichungen. Das ergibt ein Gleichungssystem mit drei Gleichungen und zwei Unbekannten.
Hat das System eine eindeutige Lösung, schneiden sich die Geraden in einem Punkt. Keine Lösung bedeutet, sie sind windschief und haben überhaupt nichts gemeinsam.
Pro-Tipp: Nutze deinen GTR für das Gleichungssystem - das spart Zeit und Rechenfehler!
Unser KI-Begleiter ist ein speziell für Schüler entwickeltes KI-Tool, das mehr als nur Antworten bietet. Basierend auf Millionen von Knowunity-Inhalten liefert er relevante Informationen, personalisierte Lernpläne, Quizze und Inhalte direkt im Chat und passt sich deinem individuellen Lernweg an.
Du kannst die App im Google Play Store und im Apple App Store herunterladen.
Genau! Genieße kostenlosen Zugang zu Lerninhalten, vernetze dich mit anderen Schülern und hol dir sofortige Hilfe – alles direkt auf deinem Handy.
App Store
Google Play
Die App ist sehr einfach zu bedienen und gut gestaltet. Ich habe bisher alles gefunden, wonach ich gesucht habe, und konnte viel aus den Präsentationen lernen! Ich werde die App definitiv für ein Schulprojekt nutzen! Und natürlich hilft sie auch sehr als Inspiration.
Stefan S
iOS-Nutzer
Diese App ist wirklich super. Es gibt so viele Lernzettel und Hilfen [...]. Mein Problemfach ist zum Beispiel Französisch und die App hat so viele Möglichkeiten zur Hilfe. Dank dieser App habe ich mich in Französisch verbessert. Ich würde sie jedem empfehlen.
Samantha Klich
Android-Nutzerin
Wow, ich bin wirklich begeistert. Ich habe die App einfach mal ausprobiert, weil ich sie schon oft beworben gesehen habe und war absolut beeindruckt. Diese App ist DIE HILFE, die man für die Schule braucht und vor allem bietet sie so viele Dinge wie Übungen und Lernzettel, die mir persönlich SEHR geholfen haben.
Anna
iOS-Nutzerin
Beste App der Welt! Keine Worte, weil sie einfach zu gut ist
Thomas R
iOS-Nutzer
Einfach genial. Lässt mich 10x besser lernen, diese App ist eine glatte 10/10. Ich empfehle sie jedem. Ich kann Lernzettel anschauen und suchen. Ich kann sie im Fachordner speichern. Ich kann sie jederzeit wiederholen, wenn ich zurückkomme. Wenn du diese App noch nicht ausprobiert hast, verpasst du wirklich was.
Basil
Android-Nutzer
Diese App hat mich so viel selbstbewusster in meiner Klausurvorbereitung gemacht, nicht nur durch die Stärkung meines Selbstvertrauens durch die Features, die es dir ermöglichen, dich mit anderen zu vernetzen und dich weniger allein zu fühlen, sondern auch durch die Art, wie die App selbst darauf ausgerichtet ist, dass du dich besser fühlst. Sie ist einfach zu bedienen, macht Spaß und hilft jedem, der in irgendeiner Weise Schwierigkeiten hat.
David K
iOS-Nutzer
Die App ist einfach super! Ich muss nur das Thema in die Suche eingeben und bekomme sofort eine Antwort. Ich muss nicht mehr 10 YouTube-Videos schauen, um etwas zu verstehen, und spare dadurch richtig viel Zeit. Sehr empfehlenswert!
Sudenaz Ocak
Android-Nutzerin
In der Schule war ich echt schlecht in Mathe, aber dank der App bin ich jetzt besser geworden. Ich bin so dankbar, dass ihr die App gemacht habt.
Greenlight Bonnie
Android-Nutzerin
sehr zuverlässige App, um deine Ideen in Mathe, Englisch und anderen verwandten Themen zu verbessern. bitte nutze diese App, wenn du in bestimmten Bereichen Schwierigkeiten hast, diese App ist dafür der Schlüssel. wünschte, ich hätte früher eine Bewertung geschrieben. und sie ist auch kostenlos, also mach dir darüber keine Sorgen.
Rohan U
Android-Nutzer
Ich weiß, dass viele Apps gefälschte Accounts nutzen, um ihre Bewertungen zu pushen, aber diese App verdient das alles. Ursprünglich hatte ich eine 4 in meinen Englisch-Klausuren und dieses Mal habe ich eine 2 bekommen. Ich wusste erst drei Tage vor der Klausur von dieser App und sie hat mir SEHR geholfen. Bitte vertrau mir wirklich und nutze sie, denn ich bin sicher, dass auch du Fortschritte sehen wirst.
Xander S
iOS-Nutzer
DIE QUIZZE UND KARTEIKARTEN SIND SO NÜTZLICH UND ICH LIEBE Knowunity KI. ES IST AUCH BUCHSTÄBLICH WIE CHATGPT ABER SCHLAUER!! HAT MIR AUCH BEI MEINEN MASCARA-PROBLEMEN GEHOLFEN!! SOWIE BEI MEINEN ECHTEN FÄCHERN! NATÜRLICH 😍😁😲🤑💗✨🎀😮
Elisha
iOS-Nutzer
Diese App ist echt der Hammer. Ich finde Lernen so langweilig, aber diese App macht es so einfach, alles zu organisieren und dann kannst du die kostenlose KI bitten, dich abzufragen, so gut, und du kannst einfach deine eigenen Sachen hochladen. sehr empfehlenswert als jemand, der gerade Probeklausuren schreibt
Paul T
iOS-Nutzer
Die App ist sehr einfach zu bedienen und gut gestaltet. Ich habe bisher alles gefunden, wonach ich gesucht habe, und konnte viel aus den Präsentationen lernen! Ich werde die App definitiv für ein Schulprojekt nutzen! Und natürlich hilft sie auch sehr als Inspiration.
Stefan S
iOS-Nutzer
Diese App ist wirklich super. Es gibt so viele Lernzettel und Hilfen [...]. Mein Problemfach ist zum Beispiel Französisch und die App hat so viele Möglichkeiten zur Hilfe. Dank dieser App habe ich mich in Französisch verbessert. Ich würde sie jedem empfehlen.
Samantha Klich
Android-Nutzerin
Wow, ich bin wirklich begeistert. Ich habe die App einfach mal ausprobiert, weil ich sie schon oft beworben gesehen habe und war absolut beeindruckt. Diese App ist DIE HILFE, die man für die Schule braucht und vor allem bietet sie so viele Dinge wie Übungen und Lernzettel, die mir persönlich SEHR geholfen haben.
Anna
iOS-Nutzerin
Beste App der Welt! Keine Worte, weil sie einfach zu gut ist
Thomas R
iOS-Nutzer
Einfach genial. Lässt mich 10x besser lernen, diese App ist eine glatte 10/10. Ich empfehle sie jedem. Ich kann Lernzettel anschauen und suchen. Ich kann sie im Fachordner speichern. Ich kann sie jederzeit wiederholen, wenn ich zurückkomme. Wenn du diese App noch nicht ausprobiert hast, verpasst du wirklich was.
Basil
Android-Nutzer
Diese App hat mich so viel selbstbewusster in meiner Klausurvorbereitung gemacht, nicht nur durch die Stärkung meines Selbstvertrauens durch die Features, die es dir ermöglichen, dich mit anderen zu vernetzen und dich weniger allein zu fühlen, sondern auch durch die Art, wie die App selbst darauf ausgerichtet ist, dass du dich besser fühlst. Sie ist einfach zu bedienen, macht Spaß und hilft jedem, der in irgendeiner Weise Schwierigkeiten hat.
David K
iOS-Nutzer
Die App ist einfach super! Ich muss nur das Thema in die Suche eingeben und bekomme sofort eine Antwort. Ich muss nicht mehr 10 YouTube-Videos schauen, um etwas zu verstehen, und spare dadurch richtig viel Zeit. Sehr empfehlenswert!
Sudenaz Ocak
Android-Nutzerin
In der Schule war ich echt schlecht in Mathe, aber dank der App bin ich jetzt besser geworden. Ich bin so dankbar, dass ihr die App gemacht habt.
Greenlight Bonnie
Android-Nutzerin
sehr zuverlässige App, um deine Ideen in Mathe, Englisch und anderen verwandten Themen zu verbessern. bitte nutze diese App, wenn du in bestimmten Bereichen Schwierigkeiten hast, diese App ist dafür der Schlüssel. wünschte, ich hätte früher eine Bewertung geschrieben. und sie ist auch kostenlos, also mach dir darüber keine Sorgen.
Rohan U
Android-Nutzer
Ich weiß, dass viele Apps gefälschte Accounts nutzen, um ihre Bewertungen zu pushen, aber diese App verdient das alles. Ursprünglich hatte ich eine 4 in meinen Englisch-Klausuren und dieses Mal habe ich eine 2 bekommen. Ich wusste erst drei Tage vor der Klausur von dieser App und sie hat mir SEHR geholfen. Bitte vertrau mir wirklich und nutze sie, denn ich bin sicher, dass auch du Fortschritte sehen wirst.
Xander S
iOS-Nutzer
DIE QUIZZE UND KARTEIKARTEN SIND SO NÜTZLICH UND ICH LIEBE Knowunity KI. ES IST AUCH BUCHSTÄBLICH WIE CHATGPT ABER SCHLAUER!! HAT MIR AUCH BEI MEINEN MASCARA-PROBLEMEN GEHOLFEN!! SOWIE BEI MEINEN ECHTEN FÄCHERN! NATÜRLICH 😍😁😲🤑💗✨🎀😮
Elisha
iOS-Nutzer
Diese App ist echt der Hammer. Ich finde Lernen so langweilig, aber diese App macht es so einfach, alles zu organisieren und dann kannst du die kostenlose KI bitten, dich abzufragen, so gut, und du kannst einfach deine eigenen Sachen hochladen. sehr empfehlenswert als jemand, der gerade Probeklausuren schreibt
Paul T
iOS-Nutzer
nora
@nora_aqgn
Du kennst schon lineare Funktionen, aber jetzt wird's dreidimensional! Geraden im Raum funktionieren mit Vektoren und ermöglichen es dir, Linien in alle Richtungen zu beschreiben - nicht nur auf dem Papier, sondern auch durch den Raum hindurch.

Zugriff auf alle Dokumente
Verbessere deine Noten
Schließ dich Millionen Schülern an
Die Parameterform ist dein Werkzeug, um jede Gerade im Raum zu beschreiben: \vec{x} = \vec{p} + r \cdot \vec{u}. Der Stützvektor \vec{p} ist ein fester Punkt auf der Geraden, der Richtungsvektor \vec{u} zeigt dir, wohin die Gerade läuft.
Um Punkte auf der Geraden zu finden, setzt du einfach verschiedene Werte für r ein. Bei r = 0 bekommst du den Stützpunkt zurück, bei r = 1 gehst du einmal den Richtungsvektor weiter.
Willst du überprüfen, ob ein Punkt auf der Geraden liegt, gleichst du die Koordinaten mit der Parameterform ab. Bekommst du für alle drei Gleichungen den gleichen r-Wert, liegt der Punkt auf der Geraden - sonst nicht!
Tipp: Der Parameter r kann auch negativ sein - dann gehst du in die entgegengesetzte Richtung!

Zugriff auf alle Dokumente
Verbessere deine Noten
Schließ dich Millionen Schülern an
Aus zwei Punkten A und B erstellst du eine Parametergleichung: Nimm einen Punkt als Stützvektor und berechne den Richtungsvektor durch \vec{AB} = \vec{b} - \vec{a}.
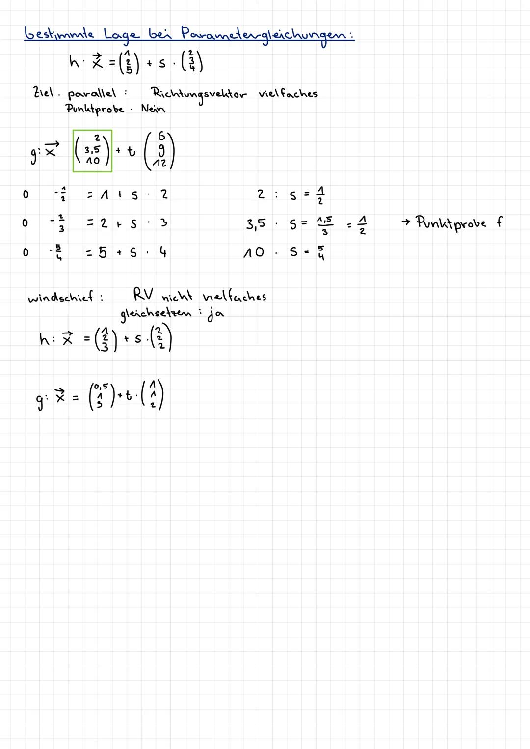
Bei der Lage von Geraden gibt es vier Möglichkeiten: identisch (gleiche Punkte), parallel (verschoben), schneidend (ein gemeinsamer Punkt) oder windschief (keine Gemeinsamkeiten).
Der Trick: Prüfe zuerst, ob die Richtungsvektoren Vielfache voneinander sind. Falls ja, mache eine Punktprobe - liegt ein Punkt der einen Geraden auf der anderen? Dann sind sie identisch, sonst parallel.
Falls die Richtungsvektoren keine Vielfachen sind, gleichsetzen: Gibt's eine Lösung, schneiden sie sich. Keine Lösung bedeutet windschief.
Merkhilfe: Windschief gibt's nur im 3D-Raum - in der Ebene sind Geraden entweder parallel oder schneidend!

Zugriff auf alle Dokumente
Verbessere deine Noten
Schließ dich Millionen Schülern an
Orthogonale Geraden schneiden sich im rechten Winkel (90°). Um das zu prüfen, rechnest du das Skalarprodukt der Richtungsvektoren aus - ist es null, sind die Geraden orthogonal.
Für beliebige Winkel zwischen Geraden nutzt du die Formel: cos(α) = \frac{\vec{u₁} \cdot \vec{u₂}}{|\vec{u₁}| \cdot |\vec{u₂}|}. Dann rechnest du mit arccos den Winkel aus.
Den Abstand zwischen zwei Punkten auf verschiedenen Geraden berechnest du mit der bekannten Abstandsformel: d = \sqrt{² + ² + ²}.
Achtung: Die Winkelformel gibt dir immer einen Wert zwischen 0° und 180° - das ist der kleinere der beiden möglichen Winkel!

Zugriff auf alle Dokumente
Verbessere deine Noten
Schließ dich Millionen Schülern an
Hier wird's systematisch: Zuerst checkst du die Richtungsvektoren - sind sie Vielfache voneinander? Falls ja, Punktprobe machen: Setze einen beliebigen Punkt der ersten Geraden in die zweite ein.
Bei der Punktprobe musst du für alle Koordinaten den gleichen Parameter-Wert bekommen. Klappt das, sind die Geraden identisch - sonst parallel.
Sind die Richtungsvektoren keine Vielfachen, gleichst du die beiden Parametergleichungen. Das ergibt ein Gleichungssystem mit drei Gleichungen und zwei Unbekannten.
Hat das System eine eindeutige Lösung, schneiden sich die Geraden in einem Punkt. Keine Lösung bedeutet, sie sind windschief und haben überhaupt nichts gemeinsam.
Pro-Tipp: Nutze deinen GTR für das Gleichungssystem - das spart Zeit und Rechenfehler!
Unser KI-Begleiter ist ein speziell für Schüler entwickeltes KI-Tool, das mehr als nur Antworten bietet. Basierend auf Millionen von Knowunity-Inhalten liefert er relevante Informationen, personalisierte Lernpläne, Quizze und Inhalte direkt im Chat und passt sich deinem individuellen Lernweg an.
Du kannst die App im Google Play Store und im Apple App Store herunterladen.
Genau! Genieße kostenlosen Zugang zu Lerninhalten, vernetze dich mit anderen Schülern und hol dir sofortige Hilfe – alles direkt auf deinem Handy.
9
Smart Tools NEU
Verwandle diesen Lernzettel in: ✓ 50+ Übungsfragen ✓ Interaktive Karteikarten ✓ Komplette Probeklausur ✓ Aufsatzgliederungen
Entdecken Sie umfassende Klausuraufgaben zur analytischen Geometrie, die Themen wie Vektoren, Linien, Schnittpunkte und Abstandsberechnungen abdecken. Ideal für Studierende, die sich auf Prüfungen vorbereiten. Diese Sammlung enthält detaillierte Aufgabenstellungen und Lösungen zu 2D- und 3D-Koordinatensystemen, Vektoroperationen und geometrischen Berechnungen.
Diese Zusammenfassung behandelt die Grundlagen der analytischen Geometrie, einschließlich der Berechnung von Abständen zwischen Punkten, der Bestimmung von Schnittpunkten zwischen Geraden und Ebenen sowie der Analyse von Lagebeziehungen (parallel, identisch, schneidend). Wichtige Konzepte wie Orthogonalität, Skalarprodukt und Parameterdarstellungen werden ebenfalls behandelt. Ideal für Studierende, die sich auf Prüfungen vorbereiten oder ihr Verständnis der analytischen Geometrie vertiefen möchten.
Umfassender Lernzettel für das Abitur in Mathematik, der die Themen Analysis, Vektoren und Stochastik abdeckt. Enthält wichtige Konzepte wie Ableitungen, Integrale, Vektorgeometrie, Wahrscheinlichkeitsrechnung und mehr. Ideal zur Vorbereitung auf Prüfungen.
Dieser Lernzettel behandelt die Lagebeziehungen von Geraden in der analytischen Geometrie, einschließlich der Aufstellung von Geradengleichungen, Punktproben und der Untersuchung von Parallelität und Orthogonalität. Ideal für Mathe LK 2022. Enthält wichtige Konzepte wie Richtungsvektoren und Schnittpunkte. Perfekt für die Vorbereitung auf Prüfungen.
Entdecken Sie die Grundlagen von Vektoren und deren Anwendung in der Geometrie. Dieser Lernzettel behandelt den Mittelpunkt einer Strecke, den Abstand zwischen Punkten, die vektorielle Darstellung von Geraden und die Lagebeziehungen zwischen ihnen. Ideal für Schüler, die ihre Kenntnisse in der Geometrie vertiefen möchten.
Entdecken Sie die verschiedenen Lagebeziehungen zwischen Geraden und Ebenen in der analytischen Geometrie. Erfahren Sie, wie man identische, parallele, schneidende und windschiefe Linien erkennt und berechnet. Enthält Beispielaufgaben zur Vertiefung des Verständnisses.
App Store
Google Play
Die App ist sehr einfach zu bedienen und gut gestaltet. Ich habe bisher alles gefunden, wonach ich gesucht habe, und konnte viel aus den Präsentationen lernen! Ich werde die App definitiv für ein Schulprojekt nutzen! Und natürlich hilft sie auch sehr als Inspiration.
Stefan S
iOS-Nutzer
Diese App ist wirklich super. Es gibt so viele Lernzettel und Hilfen [...]. Mein Problemfach ist zum Beispiel Französisch und die App hat so viele Möglichkeiten zur Hilfe. Dank dieser App habe ich mich in Französisch verbessert. Ich würde sie jedem empfehlen.
Samantha Klich
Android-Nutzerin
Wow, ich bin wirklich begeistert. Ich habe die App einfach mal ausprobiert, weil ich sie schon oft beworben gesehen habe und war absolut beeindruckt. Diese App ist DIE HILFE, die man für die Schule braucht und vor allem bietet sie so viele Dinge wie Übungen und Lernzettel, die mir persönlich SEHR geholfen haben.
Anna
iOS-Nutzerin
Beste App der Welt! Keine Worte, weil sie einfach zu gut ist
Thomas R
iOS-Nutzer
Einfach genial. Lässt mich 10x besser lernen, diese App ist eine glatte 10/10. Ich empfehle sie jedem. Ich kann Lernzettel anschauen und suchen. Ich kann sie im Fachordner speichern. Ich kann sie jederzeit wiederholen, wenn ich zurückkomme. Wenn du diese App noch nicht ausprobiert hast, verpasst du wirklich was.
Basil
Android-Nutzer
Diese App hat mich so viel selbstbewusster in meiner Klausurvorbereitung gemacht, nicht nur durch die Stärkung meines Selbstvertrauens durch die Features, die es dir ermöglichen, dich mit anderen zu vernetzen und dich weniger allein zu fühlen, sondern auch durch die Art, wie die App selbst darauf ausgerichtet ist, dass du dich besser fühlst. Sie ist einfach zu bedienen, macht Spaß und hilft jedem, der in irgendeiner Weise Schwierigkeiten hat.
David K
iOS-Nutzer
Die App ist einfach super! Ich muss nur das Thema in die Suche eingeben und bekomme sofort eine Antwort. Ich muss nicht mehr 10 YouTube-Videos schauen, um etwas zu verstehen, und spare dadurch richtig viel Zeit. Sehr empfehlenswert!
Sudenaz Ocak
Android-Nutzerin
In der Schule war ich echt schlecht in Mathe, aber dank der App bin ich jetzt besser geworden. Ich bin so dankbar, dass ihr die App gemacht habt.
Greenlight Bonnie
Android-Nutzerin
sehr zuverlässige App, um deine Ideen in Mathe, Englisch und anderen verwandten Themen zu verbessern. bitte nutze diese App, wenn du in bestimmten Bereichen Schwierigkeiten hast, diese App ist dafür der Schlüssel. wünschte, ich hätte früher eine Bewertung geschrieben. und sie ist auch kostenlos, also mach dir darüber keine Sorgen.
Rohan U
Android-Nutzer
Ich weiß, dass viele Apps gefälschte Accounts nutzen, um ihre Bewertungen zu pushen, aber diese App verdient das alles. Ursprünglich hatte ich eine 4 in meinen Englisch-Klausuren und dieses Mal habe ich eine 2 bekommen. Ich wusste erst drei Tage vor der Klausur von dieser App und sie hat mir SEHR geholfen. Bitte vertrau mir wirklich und nutze sie, denn ich bin sicher, dass auch du Fortschritte sehen wirst.
Xander S
iOS-Nutzer
DIE QUIZZE UND KARTEIKARTEN SIND SO NÜTZLICH UND ICH LIEBE Knowunity KI. ES IST AUCH BUCHSTÄBLICH WIE CHATGPT ABER SCHLAUER!! HAT MIR AUCH BEI MEINEN MASCARA-PROBLEMEN GEHOLFEN!! SOWIE BEI MEINEN ECHTEN FÄCHERN! NATÜRLICH 😍😁😲🤑💗✨🎀😮
Elisha
iOS-Nutzer
Diese App ist echt der Hammer. Ich finde Lernen so langweilig, aber diese App macht es so einfach, alles zu organisieren und dann kannst du die kostenlose KI bitten, dich abzufragen, so gut, und du kannst einfach deine eigenen Sachen hochladen. sehr empfehlenswert als jemand, der gerade Probeklausuren schreibt
Paul T
iOS-Nutzer
Die App ist sehr einfach zu bedienen und gut gestaltet. Ich habe bisher alles gefunden, wonach ich gesucht habe, und konnte viel aus den Präsentationen lernen! Ich werde die App definitiv für ein Schulprojekt nutzen! Und natürlich hilft sie auch sehr als Inspiration.
Stefan S
iOS-Nutzer
Diese App ist wirklich super. Es gibt so viele Lernzettel und Hilfen [...]. Mein Problemfach ist zum Beispiel Französisch und die App hat so viele Möglichkeiten zur Hilfe. Dank dieser App habe ich mich in Französisch verbessert. Ich würde sie jedem empfehlen.
Samantha Klich
Android-Nutzerin
Wow, ich bin wirklich begeistert. Ich habe die App einfach mal ausprobiert, weil ich sie schon oft beworben gesehen habe und war absolut beeindruckt. Diese App ist DIE HILFE, die man für die Schule braucht und vor allem bietet sie so viele Dinge wie Übungen und Lernzettel, die mir persönlich SEHR geholfen haben.
Anna
iOS-Nutzerin
Beste App der Welt! Keine Worte, weil sie einfach zu gut ist
Thomas R
iOS-Nutzer
Einfach genial. Lässt mich 10x besser lernen, diese App ist eine glatte 10/10. Ich empfehle sie jedem. Ich kann Lernzettel anschauen und suchen. Ich kann sie im Fachordner speichern. Ich kann sie jederzeit wiederholen, wenn ich zurückkomme. Wenn du diese App noch nicht ausprobiert hast, verpasst du wirklich was.
Basil
Android-Nutzer
Diese App hat mich so viel selbstbewusster in meiner Klausurvorbereitung gemacht, nicht nur durch die Stärkung meines Selbstvertrauens durch die Features, die es dir ermöglichen, dich mit anderen zu vernetzen und dich weniger allein zu fühlen, sondern auch durch die Art, wie die App selbst darauf ausgerichtet ist, dass du dich besser fühlst. Sie ist einfach zu bedienen, macht Spaß und hilft jedem, der in irgendeiner Weise Schwierigkeiten hat.
David K
iOS-Nutzer
Die App ist einfach super! Ich muss nur das Thema in die Suche eingeben und bekomme sofort eine Antwort. Ich muss nicht mehr 10 YouTube-Videos schauen, um etwas zu verstehen, und spare dadurch richtig viel Zeit. Sehr empfehlenswert!
Sudenaz Ocak
Android-Nutzerin
In der Schule war ich echt schlecht in Mathe, aber dank der App bin ich jetzt besser geworden. Ich bin so dankbar, dass ihr die App gemacht habt.
Greenlight Bonnie
Android-Nutzerin
sehr zuverlässige App, um deine Ideen in Mathe, Englisch und anderen verwandten Themen zu verbessern. bitte nutze diese App, wenn du in bestimmten Bereichen Schwierigkeiten hast, diese App ist dafür der Schlüssel. wünschte, ich hätte früher eine Bewertung geschrieben. und sie ist auch kostenlos, also mach dir darüber keine Sorgen.
Rohan U
Android-Nutzer
Ich weiß, dass viele Apps gefälschte Accounts nutzen, um ihre Bewertungen zu pushen, aber diese App verdient das alles. Ursprünglich hatte ich eine 4 in meinen Englisch-Klausuren und dieses Mal habe ich eine 2 bekommen. Ich wusste erst drei Tage vor der Klausur von dieser App und sie hat mir SEHR geholfen. Bitte vertrau mir wirklich und nutze sie, denn ich bin sicher, dass auch du Fortschritte sehen wirst.
Xander S
iOS-Nutzer
DIE QUIZZE UND KARTEIKARTEN SIND SO NÜTZLICH UND ICH LIEBE Knowunity KI. ES IST AUCH BUCHSTÄBLICH WIE CHATGPT ABER SCHLAUER!! HAT MIR AUCH BEI MEINEN MASCARA-PROBLEMEN GEHOLFEN!! SOWIE BEI MEINEN ECHTEN FÄCHERN! NATÜRLICH 😍😁😲🤑💗✨🎀😮
Elisha
iOS-Nutzer
Diese App ist echt der Hammer. Ich finde Lernen so langweilig, aber diese App macht es so einfach, alles zu organisieren und dann kannst du die kostenlose KI bitten, dich abzufragen, so gut, und du kannst einfach deine eigenen Sachen hochladen. sehr empfehlenswert als jemand, der gerade Probeklausuren schreibt
Paul T
iOS-Nutzer