Übersicht Integral Berechnung, Umkehraufgaben zu Integrale
Melde dich an, um den Inhalt freizuschaltenEs ist kostenlos!
Zugriff auf alle Dokumente
Verbessere deine Noten
Werde Teil der Community
Mit der Anmeldung akzeptierst du die Nutzungsbedingungen und die Datenschutzrichtlinie

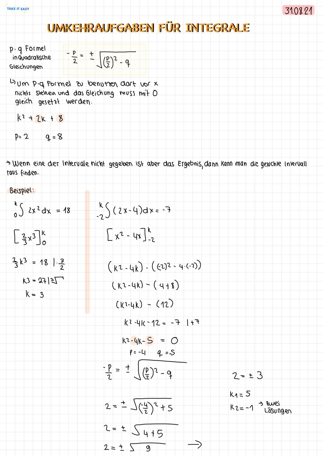
![Wie berechnet man Integral ?
↳ Vorgensweise
1. Man bildet zur erst die Stamm funktion F[x] von der gegebene Funktion.
2. Man setzt die Inter](/_next/image?url=https%3A%2F%2Fcontent-eu-central-1.knowunity.com%2FCONTENT%2FXQcnZkRBdEHXAjHOSZoW_image_page_1.webp&w=2048&q=75)
![Wie berechnet man Integral ?
↳ Vorgensweise
1. Man bildet zur erst die Stamm funktion F[x] von der gegebene Funktion.
2. Man setzt die Inter](/_next/image?url=https%3A%2F%2Fcontent-eu-central-1.knowunity.com%2FCONTENT%2FXQcnZkRBdEHXAjHOSZoW_image_page_2.webp&w=2048&q=75)