Das Integral ist ein fundamentales Konzept der Mathematik, mit dem... Mehr anzeigen
Melde dich an, um den Inhalt zu sehenKostenlos!
Zugriff auf alle Dokumente
Verbessere deine Noten
Schließ dich Millionen Schülern an
Knowunity KI
Fächer
Triangle Congruence and Similarity Theorems
Triangle Properties and Classification
Linear Equations and Graphs
Geometric Angle Relationships
Trigonometric Functions and Identities
Equation Solving Techniques
Circle Geometry Fundamentals
Division Operations and Methods
Basic Differentiation Rules
Exponent and Logarithm Properties
Alle Themen anzeigen
Human Organ Systems
Reproductive Cell Cycles
Biological Sciences Subdisciplines
Cellular Energy Metabolism
Autotrophic Energy Processes
Inheritance Patterns and Principles
Biomolecular Structure and Organization
Cell Cycle and Division Mechanics
Cellular Organization and Development
Biological Structural Organization
Alle Themen anzeigen
Chemical Sciences and Applications
Atomic Structure and Composition
Molecular Electron Structure Representation
Atomic Electron Behavior
Matter Properties and Water
Mole Concept and Calculations
Gas Laws and Behavior
Periodic Table Organization
Chemical Thermodynamics Fundamentals
Chemical Bond Types and Properties
Alle Themen anzeigen
European Renaissance and Enlightenment
European Cultural Movements 800-1920
American Revolution Era 1763-1797
American Civil War 1861-1865
Global Imperial Systems
Mongol and Chinese Dynasties
U.S. Presidents and World Leaders
Historical Sources and Documentation
World Wars Era and Impact
World Religious Systems
Alle Themen anzeigen
Classic and Contemporary Novels
Literary Character Analysis
Rhetorical Theory and Practice
Classic Literary Narratives
Reading Analysis and Interpretation
Narrative Structure and Techniques
English Language Components
Influential English-Language Authors
Basic Sentence Structure
Narrative Voice and Perspective
Alle Themen anzeigen
1,245
•
Aktualisiert Apr 27, 2026
•
Hannah
@hannah_mre
Das Integral ist ein fundamentales Konzept der Mathematik, mit dem... Mehr anzeigen








Das Integral hilft dir, die Gesamtänderung einer Größe zu rekonstruieren, wenn du ihre momentane Änderungsrate kennst. Stell dir einen Tank vor, der befüllt und entleert wird - mit dem Integral kannst du den Füllstand zu jedem Zeitpunkt bestimmen.
Bei Funktionen, die nicht aus geradlinigen Teilstücken bestehen, nähert man den Flächeninhalt mit immer mehr Teilstücken an. Je mehr Teilstücke du verwendest, desto genauer wird die Annäherung. Diese Annäherungen von oben und unten streben gegen denselben Grenzwert - wenn dieser Grenzwert eindeutig ist, nennt man die Funktion integrierbar.
Der orientierte Flächeninhalt wird als Integral bezeichnet und mit dem Symbol dargestellt. "Orientiert" bedeutet, dass Flächen oberhalb der x-Achse positiv und unterhalb negativ gezählt werden.
Merke: Das Integral berechnet den Flächeninhalt zwischen dem Graphen von f, der x-Achse und den vertikalen Linien bei x=a und x=b.

Der Hauptsatz der Differenzial- und Integralrechnung verbindet beide Bereiche: Ist F eine Stammfunktion von f , dann gilt für das bestimmte Integral: . Diese Differenz schreibt man auch kompakt als .
Beim Integrieren gelten wichtige Rechenregeln:
Die Beziehung zwischen Funktion und Stammfunktion kannst du grafisch verstehen: Wo f(x) eine Nullstelle mit Vorzeichenwechsel hat, besitzt F(x) eine Extremstelle. Wo f(x) eine Extremstelle hat, hat F(x) einen Wendepunkt. Diese NEW-Regel hilft dir, den Zusammenhang zwischen einer Funktion und ihrer Stammfunktion zu visualisieren.
Tipp: Denk immer daran: Ableiten und Integrieren sind Gegensätze - was beim Ableiten wegfällt (z.B. Konstanten), musst du beim Integrieren wieder hinzufügen!

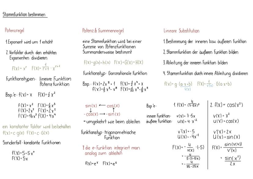
Die Potenzregel ist dein wichtigstes Werkzeug beim Integrieren: Für ist die Stammfunktion . Du erhöhst also den Exponenten um 1 und teilst durch diesen neuen Exponenten.
Beispiele für die Potenzregel:
Bei ganzrationalen Funktionen wendest du die Potenzregel auf jeden Summanden einzeln an. Bei trigonometrischen Funktionen gilt: sin(x) wird zu -cos(x) und cos(x) wird zu sin(x). Die e-Funktion bleibt beim Integrieren unverändert: .
Für komplexere Funktionen nutzt du die lineare Substitution:
Vereinfache deinen Ansatz: Vor dem Integrieren solltest du die Funktion in eine Form bringen, die du gut kennst - etwa durch Umformen von Brüchen in Potenzfunktionen mit negativen Exponenten.

Bei gebrochenrationalen Funktionen wandelst du den Bruch in eine Form mit negativem Exponenten um: . Ein Sonderfall ist , dessen Stammfunktion ist.
Warum steht hier der Betrag? Beim Ableiten von ln(x) braucht man keinen Betrag, da der Definitionsbereich auf positive Zahlen beschränkt ist. Beim Integrieren benötigen wir den Betrag, damit wir auch negative x-Werte einsetzen können.
Die Integralfunktion (auch unbestimmtes Integral genannt) beschreibt das Integral von einer festen unteren Grenze u bis zu einer variablen oberen Grenze x: . Wichtige Eigenschaften:
Der Unterschied zur Stammfunktion: Die Integralfunktion berechnet das Integral von einer festen Stelle bis zu einer variablen Stelle, während das unbestimmte Integral die Menge aller Stammfunktionen angibt.
Praktischer Tipp: Wenn du nach einer oberen Grenze x gefragt wirst, für die das Integral einen bestimmten Wert hat, setze diesen Wert ein und löse die entstehende Gleichung nach x auf.

Bei der Berechnung von Flächeninhalten musst du auf das Vorzeichen achten:
Liegt eine Fläche teilweise unter der x-Achse, gehe so vor:
Für die Fläche zwischen zwei Graphen und im Intervall [a,b] verwendest du: für im gesamten Intervall
Falls nicht bekannt ist, welcher Graph oberhalb liegt, musst du den Betrag nehmen:
Beachte: Bei der Flächenberechnung zwischen zwei Graphen musst du zuerst die Schnittpunkte bestimmen und dann die Integrale für die einzelnen Teilbereiche aufstellen, in denen jeweils eine Funktion über der anderen liegt.

Bei endlich vielen Werten kennst du bereits den arithmetischen Mittelwert: Die Summe aller Werte geteilt durch ihre Anzahl. Aber wie berechnet man den Mittelwert einer Funktion, die unendlich viele Werte hat?
Der Mittelwert einer Funktion f im Intervall [a,b] wird definiert als:
Praktische Bedeutung: Der Mittelwert gibt an, welchen konstanten Wert die Funktion haben müsste, um im gleichen Intervall den gleichen Flächeninhalt zu ergeben. Bei einer Quelle bedeutet dies zum Beispiel, wie viel Wasser gleichmäßig abgegeben werden müsste, um dieselbe Gesamtmenge zu erhalten.
Grafisch kannst du dir den Mittelwert als horizontale Linie vorstellen, bei der die Flächen A₁ (über der Linie) und A₂ (unter der Linie) gleich groß sind. Diese horizontale Linie teilt also die Fläche zwischen Funktionsgraph und x-Achse in zwei gleichgroße Teile.
Anschaulich betrachtet: Der Mittelwert einer Funktion ist die Höhe des Rechtecks, das dieselbe Breite und denselben Flächeninhalt hat wie die Fläche unter dem Funktionsgraphen.

Rotationskörper entstehen, wenn eine Fläche um eine Achse rotiert. Bekannte Beispiele sind Kegel, Zylinder, Donuts oder Eiform. Das Volumen eines Rotationskörpers, der durch Rotation der Fläche unter f(x) im Intervall [a,b] um die x-Achse entsteht, berechnet sich mit:
Bei Flächen zwischen zwei Funktionen und musst du beachten:
Uneigentliche Integrale behandeln unbegrenzte Flächen, bei denen mindestens eine Intervallgrenze ins Unendliche geht oder eine Definitionslücke vorliegt. Die Berechnung erfolgt in zwei Schritten:
Wichtiger Hinweis: Bei Rotationsvolumen zwischen zwei Graphen musst du beide Funktionsterme einzeln quadrieren und dann die Differenz bilden. Der Ausdruck liefert ein falsches Ergebnis!
Unser KI-Begleiter ist ein speziell für Schüler entwickeltes KI-Tool, das mehr als nur Antworten bietet. Basierend auf Millionen von Knowunity-Inhalten liefert er relevante Informationen, personalisierte Lernpläne, Quizze und Inhalte direkt im Chat und passt sich deinem individuellen Lernweg an.
Du kannst die App im Google Play Store und im Apple App Store herunterladen.
Genau! Genieße kostenlosen Zugang zu Lerninhalten, vernetze dich mit anderen Schülern und hol dir sofortige Hilfe – alles direkt auf deinem Handy.
App Store
Google Play
Die App ist sehr einfach zu bedienen und gut gestaltet. Ich habe bisher alles gefunden, wonach ich gesucht habe, und konnte viel aus den Präsentationen lernen! Ich werde die App definitiv für ein Schulprojekt nutzen! Und natürlich hilft sie auch sehr als Inspiration.
Stefan S
iOS-Nutzer
Diese App ist wirklich super. Es gibt so viele Lernzettel und Hilfen [...]. Mein Problemfach ist zum Beispiel Französisch und die App hat so viele Möglichkeiten zur Hilfe. Dank dieser App habe ich mich in Französisch verbessert. Ich würde sie jedem empfehlen.
Samantha Klich
Android-Nutzerin
Wow, ich bin wirklich begeistert. Ich habe die App einfach mal ausprobiert, weil ich sie schon oft beworben gesehen habe und war absolut beeindruckt. Diese App ist DIE HILFE, die man für die Schule braucht und vor allem bietet sie so viele Dinge wie Übungen und Lernzettel, die mir persönlich SEHR geholfen haben.
Anna
iOS-Nutzerin
Beste App der Welt! Keine Worte, weil sie einfach zu gut ist
Thomas R
iOS-Nutzer
Einfach genial. Lässt mich 10x besser lernen, diese App ist eine glatte 10/10. Ich empfehle sie jedem. Ich kann Lernzettel anschauen und suchen. Ich kann sie im Fachordner speichern. Ich kann sie jederzeit wiederholen, wenn ich zurückkomme. Wenn du diese App noch nicht ausprobiert hast, verpasst du wirklich was.
Basil
Android-Nutzer
Diese App hat mich so viel selbstbewusster in meiner Klausurvorbereitung gemacht, nicht nur durch die Stärkung meines Selbstvertrauens durch die Features, die es dir ermöglichen, dich mit anderen zu vernetzen und dich weniger allein zu fühlen, sondern auch durch die Art, wie die App selbst darauf ausgerichtet ist, dass du dich besser fühlst. Sie ist einfach zu bedienen, macht Spaß und hilft jedem, der in irgendeiner Weise Schwierigkeiten hat.
David K
iOS-Nutzer
Die App ist einfach super! Ich muss nur das Thema in die Suche eingeben und bekomme sofort eine Antwort. Ich muss nicht mehr 10 YouTube-Videos schauen, um etwas zu verstehen, und spare dadurch richtig viel Zeit. Sehr empfehlenswert!
Sudenaz Ocak
Android-Nutzerin
In der Schule war ich echt schlecht in Mathe, aber dank der App bin ich jetzt besser geworden. Ich bin so dankbar, dass ihr die App gemacht habt.
Greenlight Bonnie
Android-Nutzerin
sehr zuverlässige App, um deine Ideen in Mathe, Englisch und anderen verwandten Themen zu verbessern. bitte nutze diese App, wenn du in bestimmten Bereichen Schwierigkeiten hast, diese App ist dafür der Schlüssel. wünschte, ich hätte früher eine Bewertung geschrieben. und sie ist auch kostenlos, also mach dir darüber keine Sorgen.
Rohan U
Android-Nutzer
Ich weiß, dass viele Apps gefälschte Accounts nutzen, um ihre Bewertungen zu pushen, aber diese App verdient das alles. Ursprünglich hatte ich eine 4 in meinen Englisch-Klausuren und dieses Mal habe ich eine 2 bekommen. Ich wusste erst drei Tage vor der Klausur von dieser App und sie hat mir SEHR geholfen. Bitte vertrau mir wirklich und nutze sie, denn ich bin sicher, dass auch du Fortschritte sehen wirst.
Xander S
iOS-Nutzer
DIE QUIZZE UND KARTEIKARTEN SIND SO NÜTZLICH UND ICH LIEBE Knowunity KI. ES IST AUCH BUCHSTÄBLICH WIE CHATGPT ABER SCHLAUER!! HAT MIR AUCH BEI MEINEN MASCARA-PROBLEMEN GEHOLFEN!! SOWIE BEI MEINEN ECHTEN FÄCHERN! NATÜRLICH 😍😁😲🤑💗✨🎀😮
Elisha
iOS-Nutzer
Diese App ist echt der Hammer. Ich finde Lernen so langweilig, aber diese App macht es so einfach, alles zu organisieren und dann kannst du die kostenlose KI bitten, dich abzufragen, so gut, und du kannst einfach deine eigenen Sachen hochladen. sehr empfehlenswert als jemand, der gerade Probeklausuren schreibt
Paul T
iOS-Nutzer
Die App ist sehr einfach zu bedienen und gut gestaltet. Ich habe bisher alles gefunden, wonach ich gesucht habe, und konnte viel aus den Präsentationen lernen! Ich werde die App definitiv für ein Schulprojekt nutzen! Und natürlich hilft sie auch sehr als Inspiration.
Stefan S
iOS-Nutzer
Diese App ist wirklich super. Es gibt so viele Lernzettel und Hilfen [...]. Mein Problemfach ist zum Beispiel Französisch und die App hat so viele Möglichkeiten zur Hilfe. Dank dieser App habe ich mich in Französisch verbessert. Ich würde sie jedem empfehlen.
Samantha Klich
Android-Nutzerin
Wow, ich bin wirklich begeistert. Ich habe die App einfach mal ausprobiert, weil ich sie schon oft beworben gesehen habe und war absolut beeindruckt. Diese App ist DIE HILFE, die man für die Schule braucht und vor allem bietet sie so viele Dinge wie Übungen und Lernzettel, die mir persönlich SEHR geholfen haben.
Anna
iOS-Nutzerin
Beste App der Welt! Keine Worte, weil sie einfach zu gut ist
Thomas R
iOS-Nutzer
Einfach genial. Lässt mich 10x besser lernen, diese App ist eine glatte 10/10. Ich empfehle sie jedem. Ich kann Lernzettel anschauen und suchen. Ich kann sie im Fachordner speichern. Ich kann sie jederzeit wiederholen, wenn ich zurückkomme. Wenn du diese App noch nicht ausprobiert hast, verpasst du wirklich was.
Basil
Android-Nutzer
Diese App hat mich so viel selbstbewusster in meiner Klausurvorbereitung gemacht, nicht nur durch die Stärkung meines Selbstvertrauens durch die Features, die es dir ermöglichen, dich mit anderen zu vernetzen und dich weniger allein zu fühlen, sondern auch durch die Art, wie die App selbst darauf ausgerichtet ist, dass du dich besser fühlst. Sie ist einfach zu bedienen, macht Spaß und hilft jedem, der in irgendeiner Weise Schwierigkeiten hat.
David K
iOS-Nutzer
Die App ist einfach super! Ich muss nur das Thema in die Suche eingeben und bekomme sofort eine Antwort. Ich muss nicht mehr 10 YouTube-Videos schauen, um etwas zu verstehen, und spare dadurch richtig viel Zeit. Sehr empfehlenswert!
Sudenaz Ocak
Android-Nutzerin
In der Schule war ich echt schlecht in Mathe, aber dank der App bin ich jetzt besser geworden. Ich bin so dankbar, dass ihr die App gemacht habt.
Greenlight Bonnie
Android-Nutzerin
sehr zuverlässige App, um deine Ideen in Mathe, Englisch und anderen verwandten Themen zu verbessern. bitte nutze diese App, wenn du in bestimmten Bereichen Schwierigkeiten hast, diese App ist dafür der Schlüssel. wünschte, ich hätte früher eine Bewertung geschrieben. und sie ist auch kostenlos, also mach dir darüber keine Sorgen.
Rohan U
Android-Nutzer
Ich weiß, dass viele Apps gefälschte Accounts nutzen, um ihre Bewertungen zu pushen, aber diese App verdient das alles. Ursprünglich hatte ich eine 4 in meinen Englisch-Klausuren und dieses Mal habe ich eine 2 bekommen. Ich wusste erst drei Tage vor der Klausur von dieser App und sie hat mir SEHR geholfen. Bitte vertrau mir wirklich und nutze sie, denn ich bin sicher, dass auch du Fortschritte sehen wirst.
Xander S
iOS-Nutzer
DIE QUIZZE UND KARTEIKARTEN SIND SO NÜTZLICH UND ICH LIEBE Knowunity KI. ES IST AUCH BUCHSTÄBLICH WIE CHATGPT ABER SCHLAUER!! HAT MIR AUCH BEI MEINEN MASCARA-PROBLEMEN GEHOLFEN!! SOWIE BEI MEINEN ECHTEN FÄCHERN! NATÜRLICH 😍😁😲🤑💗✨🎀😮
Elisha
iOS-Nutzer
Diese App ist echt der Hammer. Ich finde Lernen so langweilig, aber diese App macht es so einfach, alles zu organisieren und dann kannst du die kostenlose KI bitten, dich abzufragen, so gut, und du kannst einfach deine eigenen Sachen hochladen. sehr empfehlenswert als jemand, der gerade Probeklausuren schreibt
Paul T
iOS-Nutzer
Hannah
@hannah_mre
Das Integral ist ein fundamentales Konzept der Mathematik, mit dem du die Gesamtänderung einer Größe oder Flächeninhalte berechnen kannst. Es bildet das Gegenstück zur Differenzialrechnung und ist essenziell für viele Anwendungen in Naturwissenschaften und Technik.

Zugriff auf alle Dokumente
Verbessere deine Noten
Schließ dich Millionen Schülern an
Das Integral hilft dir, die Gesamtänderung einer Größe zu rekonstruieren, wenn du ihre momentane Änderungsrate kennst. Stell dir einen Tank vor, der befüllt und entleert wird - mit dem Integral kannst du den Füllstand zu jedem Zeitpunkt bestimmen.
Bei Funktionen, die nicht aus geradlinigen Teilstücken bestehen, nähert man den Flächeninhalt mit immer mehr Teilstücken an. Je mehr Teilstücke du verwendest, desto genauer wird die Annäherung. Diese Annäherungen von oben und unten streben gegen denselben Grenzwert - wenn dieser Grenzwert eindeutig ist, nennt man die Funktion integrierbar.
Der orientierte Flächeninhalt wird als Integral bezeichnet und mit dem Symbol dargestellt. "Orientiert" bedeutet, dass Flächen oberhalb der x-Achse positiv und unterhalb negativ gezählt werden.
Merke: Das Integral berechnet den Flächeninhalt zwischen dem Graphen von f, der x-Achse und den vertikalen Linien bei x=a und x=b.

Zugriff auf alle Dokumente
Verbessere deine Noten
Schließ dich Millionen Schülern an
Der Hauptsatz der Differenzial- und Integralrechnung verbindet beide Bereiche: Ist F eine Stammfunktion von f , dann gilt für das bestimmte Integral: . Diese Differenz schreibt man auch kompakt als .
Beim Integrieren gelten wichtige Rechenregeln:
Die Beziehung zwischen Funktion und Stammfunktion kannst du grafisch verstehen: Wo f(x) eine Nullstelle mit Vorzeichenwechsel hat, besitzt F(x) eine Extremstelle. Wo f(x) eine Extremstelle hat, hat F(x) einen Wendepunkt. Diese NEW-Regel hilft dir, den Zusammenhang zwischen einer Funktion und ihrer Stammfunktion zu visualisieren.
Tipp: Denk immer daran: Ableiten und Integrieren sind Gegensätze - was beim Ableiten wegfällt (z.B. Konstanten), musst du beim Integrieren wieder hinzufügen!

Zugriff auf alle Dokumente
Verbessere deine Noten
Schließ dich Millionen Schülern an
Die Potenzregel ist dein wichtigstes Werkzeug beim Integrieren: Für ist die Stammfunktion . Du erhöhst also den Exponenten um 1 und teilst durch diesen neuen Exponenten.
Beispiele für die Potenzregel:
Bei ganzrationalen Funktionen wendest du die Potenzregel auf jeden Summanden einzeln an. Bei trigonometrischen Funktionen gilt: sin(x) wird zu -cos(x) und cos(x) wird zu sin(x). Die e-Funktion bleibt beim Integrieren unverändert: .
Für komplexere Funktionen nutzt du die lineare Substitution:
Vereinfache deinen Ansatz: Vor dem Integrieren solltest du die Funktion in eine Form bringen, die du gut kennst - etwa durch Umformen von Brüchen in Potenzfunktionen mit negativen Exponenten.

Zugriff auf alle Dokumente
Verbessere deine Noten
Schließ dich Millionen Schülern an
Bei gebrochenrationalen Funktionen wandelst du den Bruch in eine Form mit negativem Exponenten um: . Ein Sonderfall ist , dessen Stammfunktion ist.
Warum steht hier der Betrag? Beim Ableiten von ln(x) braucht man keinen Betrag, da der Definitionsbereich auf positive Zahlen beschränkt ist. Beim Integrieren benötigen wir den Betrag, damit wir auch negative x-Werte einsetzen können.
Die Integralfunktion (auch unbestimmtes Integral genannt) beschreibt das Integral von einer festen unteren Grenze u bis zu einer variablen oberen Grenze x: . Wichtige Eigenschaften:
Der Unterschied zur Stammfunktion: Die Integralfunktion berechnet das Integral von einer festen Stelle bis zu einer variablen Stelle, während das unbestimmte Integral die Menge aller Stammfunktionen angibt.
Praktischer Tipp: Wenn du nach einer oberen Grenze x gefragt wirst, für die das Integral einen bestimmten Wert hat, setze diesen Wert ein und löse die entstehende Gleichung nach x auf.

Zugriff auf alle Dokumente
Verbessere deine Noten
Schließ dich Millionen Schülern an
Bei der Berechnung von Flächeninhalten musst du auf das Vorzeichen achten:
Liegt eine Fläche teilweise unter der x-Achse, gehe so vor:
Für die Fläche zwischen zwei Graphen und im Intervall [a,b] verwendest du: für im gesamten Intervall
Falls nicht bekannt ist, welcher Graph oberhalb liegt, musst du den Betrag nehmen:
Beachte: Bei der Flächenberechnung zwischen zwei Graphen musst du zuerst die Schnittpunkte bestimmen und dann die Integrale für die einzelnen Teilbereiche aufstellen, in denen jeweils eine Funktion über der anderen liegt.

Zugriff auf alle Dokumente
Verbessere deine Noten
Schließ dich Millionen Schülern an
Bei endlich vielen Werten kennst du bereits den arithmetischen Mittelwert: Die Summe aller Werte geteilt durch ihre Anzahl. Aber wie berechnet man den Mittelwert einer Funktion, die unendlich viele Werte hat?
Der Mittelwert einer Funktion f im Intervall [a,b] wird definiert als:
Praktische Bedeutung: Der Mittelwert gibt an, welchen konstanten Wert die Funktion haben müsste, um im gleichen Intervall den gleichen Flächeninhalt zu ergeben. Bei einer Quelle bedeutet dies zum Beispiel, wie viel Wasser gleichmäßig abgegeben werden müsste, um dieselbe Gesamtmenge zu erhalten.
Grafisch kannst du dir den Mittelwert als horizontale Linie vorstellen, bei der die Flächen A₁ (über der Linie) und A₂ (unter der Linie) gleich groß sind. Diese horizontale Linie teilt also die Fläche zwischen Funktionsgraph und x-Achse in zwei gleichgroße Teile.
Anschaulich betrachtet: Der Mittelwert einer Funktion ist die Höhe des Rechtecks, das dieselbe Breite und denselben Flächeninhalt hat wie die Fläche unter dem Funktionsgraphen.

Zugriff auf alle Dokumente
Verbessere deine Noten
Schließ dich Millionen Schülern an
Rotationskörper entstehen, wenn eine Fläche um eine Achse rotiert. Bekannte Beispiele sind Kegel, Zylinder, Donuts oder Eiform. Das Volumen eines Rotationskörpers, der durch Rotation der Fläche unter f(x) im Intervall [a,b] um die x-Achse entsteht, berechnet sich mit:
Bei Flächen zwischen zwei Funktionen und musst du beachten:
Uneigentliche Integrale behandeln unbegrenzte Flächen, bei denen mindestens eine Intervallgrenze ins Unendliche geht oder eine Definitionslücke vorliegt. Die Berechnung erfolgt in zwei Schritten:
Wichtiger Hinweis: Bei Rotationsvolumen zwischen zwei Graphen musst du beide Funktionsterme einzeln quadrieren und dann die Differenz bilden. Der Ausdruck liefert ein falsches Ergebnis!
Unser KI-Begleiter ist ein speziell für Schüler entwickeltes KI-Tool, das mehr als nur Antworten bietet. Basierend auf Millionen von Knowunity-Inhalten liefert er relevante Informationen, personalisierte Lernpläne, Quizze und Inhalte direkt im Chat und passt sich deinem individuellen Lernweg an.
Du kannst die App im Google Play Store und im Apple App Store herunterladen.
Genau! Genieße kostenlosen Zugang zu Lerninhalten, vernetze dich mit anderen Schülern und hol dir sofortige Hilfe – alles direkt auf deinem Handy.
42
Smart Tools NEU
Verwandle diesen Lernzettel in: ✓ 50+ Übungsfragen ✓ Interaktive Karteikarten ✓ Komplette Probeklausur ✓ Aufsatzgliederungen
Detaillierte Erklärungen zu Funktionsscharen und Integralrechnung für die 12. Klasse in NRW. Dieser Lernzettel behandelt die Grundlagen der Integralrechnung, Flächenberechnung, den Hauptsatz der Differential- und Integralrechnung sowie die Analyse von Funktionsscharen. Ideal für Schüler, die sich auf Prüfungen vorbereiten oder ihr Verständnis vertiefen möchten.
Erfahren Sie, wie die Linearität des Integrals die Berechnung vereinfacht. Diese Zusammenfassung behandelt die grundlegenden Formeln zur Addition von Integralen und zur Handhabung konstanter Faktoren. Ideal für Studierende, die die Effizienz in der Integralrechnung steigern möchten. Beispiele und Erklärungen helfen, die Konzepte klar zu verstehen.
Entdecken Sie die Grundlagen der Integralrechnung mit Fokus auf Flächeninhalte unter und zwischen Funktionsgraphen. Diese Zusammenfassung behandelt die Nullstellenbestimmung, die Berechnung von Stammfunktionen und die Anwendung des Hauptsatzes der Differential- und Integralrechnung. Ideal für Studierende, die sich auf Prüfungen vorbereiten oder ihr Verständnis der Integralrechnung vertiefen möchten.
Entdecken Sie die Grundlagen der Integralrechnung und Flächenanalyse in diesem umfassenden Lernmaterial. Themen umfassen Stammfunktionen, Flächenbilanz, Integralschreibweise, das Gauß-Verfahren, Mittelwertbestimmung und die Berechnung von Flächeninhalten zwischen zwei Graphen. Ideal für Studierende der Mathematik, die ihre Kenntnisse in der Differential- und Integralrechnung vertiefen möchten.
Entdecken Sie die Grundlagen der Integralrechnung, einschließlich des bestimmten und unbestimmten Integrals, der Regeln zur Integration, der Flächenberechnung zwischen Graphen und der Anwendung des Hauptsatzes der Differential- und Integralrechnung. Diese Zusammenfassung bietet klare Beispiele und Schritt-für-Schritt-Anleitungen zur Berechnung von Integralen und Flächeninhalten. Ideal für Studierende der Mathematik und Naturwissenschaften.
Entdecken Sie die Grundlagen der Integralrechnung, einschließlich unbestimmter und bestimmter Integrale, Flächeninhalte zwischen Graphen und die Anwendung des Hauptsatzes der Analysis. Diese Zusammenfassung bietet klare Beispiele und Erklärungen zu den wichtigsten Konzepten der Integralrechnung, ideal für Schüler im Mathematik Leistungskurs.
App Store
Google Play
Die App ist sehr einfach zu bedienen und gut gestaltet. Ich habe bisher alles gefunden, wonach ich gesucht habe, und konnte viel aus den Präsentationen lernen! Ich werde die App definitiv für ein Schulprojekt nutzen! Und natürlich hilft sie auch sehr als Inspiration.
Stefan S
iOS-Nutzer
Diese App ist wirklich super. Es gibt so viele Lernzettel und Hilfen [...]. Mein Problemfach ist zum Beispiel Französisch und die App hat so viele Möglichkeiten zur Hilfe. Dank dieser App habe ich mich in Französisch verbessert. Ich würde sie jedem empfehlen.
Samantha Klich
Android-Nutzerin
Wow, ich bin wirklich begeistert. Ich habe die App einfach mal ausprobiert, weil ich sie schon oft beworben gesehen habe und war absolut beeindruckt. Diese App ist DIE HILFE, die man für die Schule braucht und vor allem bietet sie so viele Dinge wie Übungen und Lernzettel, die mir persönlich SEHR geholfen haben.
Anna
iOS-Nutzerin
Beste App der Welt! Keine Worte, weil sie einfach zu gut ist
Thomas R
iOS-Nutzer
Einfach genial. Lässt mich 10x besser lernen, diese App ist eine glatte 10/10. Ich empfehle sie jedem. Ich kann Lernzettel anschauen und suchen. Ich kann sie im Fachordner speichern. Ich kann sie jederzeit wiederholen, wenn ich zurückkomme. Wenn du diese App noch nicht ausprobiert hast, verpasst du wirklich was.
Basil
Android-Nutzer
Diese App hat mich so viel selbstbewusster in meiner Klausurvorbereitung gemacht, nicht nur durch die Stärkung meines Selbstvertrauens durch die Features, die es dir ermöglichen, dich mit anderen zu vernetzen und dich weniger allein zu fühlen, sondern auch durch die Art, wie die App selbst darauf ausgerichtet ist, dass du dich besser fühlst. Sie ist einfach zu bedienen, macht Spaß und hilft jedem, der in irgendeiner Weise Schwierigkeiten hat.
David K
iOS-Nutzer
Die App ist einfach super! Ich muss nur das Thema in die Suche eingeben und bekomme sofort eine Antwort. Ich muss nicht mehr 10 YouTube-Videos schauen, um etwas zu verstehen, und spare dadurch richtig viel Zeit. Sehr empfehlenswert!
Sudenaz Ocak
Android-Nutzerin
In der Schule war ich echt schlecht in Mathe, aber dank der App bin ich jetzt besser geworden. Ich bin so dankbar, dass ihr die App gemacht habt.
Greenlight Bonnie
Android-Nutzerin
sehr zuverlässige App, um deine Ideen in Mathe, Englisch und anderen verwandten Themen zu verbessern. bitte nutze diese App, wenn du in bestimmten Bereichen Schwierigkeiten hast, diese App ist dafür der Schlüssel. wünschte, ich hätte früher eine Bewertung geschrieben. und sie ist auch kostenlos, also mach dir darüber keine Sorgen.
Rohan U
Android-Nutzer
Ich weiß, dass viele Apps gefälschte Accounts nutzen, um ihre Bewertungen zu pushen, aber diese App verdient das alles. Ursprünglich hatte ich eine 4 in meinen Englisch-Klausuren und dieses Mal habe ich eine 2 bekommen. Ich wusste erst drei Tage vor der Klausur von dieser App und sie hat mir SEHR geholfen. Bitte vertrau mir wirklich und nutze sie, denn ich bin sicher, dass auch du Fortschritte sehen wirst.
Xander S
iOS-Nutzer
DIE QUIZZE UND KARTEIKARTEN SIND SO NÜTZLICH UND ICH LIEBE Knowunity KI. ES IST AUCH BUCHSTÄBLICH WIE CHATGPT ABER SCHLAUER!! HAT MIR AUCH BEI MEINEN MASCARA-PROBLEMEN GEHOLFEN!! SOWIE BEI MEINEN ECHTEN FÄCHERN! NATÜRLICH 😍😁😲🤑💗✨🎀😮
Elisha
iOS-Nutzer
Diese App ist echt der Hammer. Ich finde Lernen so langweilig, aber diese App macht es so einfach, alles zu organisieren und dann kannst du die kostenlose KI bitten, dich abzufragen, so gut, und du kannst einfach deine eigenen Sachen hochladen. sehr empfehlenswert als jemand, der gerade Probeklausuren schreibt
Paul T
iOS-Nutzer
Die App ist sehr einfach zu bedienen und gut gestaltet. Ich habe bisher alles gefunden, wonach ich gesucht habe, und konnte viel aus den Präsentationen lernen! Ich werde die App definitiv für ein Schulprojekt nutzen! Und natürlich hilft sie auch sehr als Inspiration.
Stefan S
iOS-Nutzer
Diese App ist wirklich super. Es gibt so viele Lernzettel und Hilfen [...]. Mein Problemfach ist zum Beispiel Französisch und die App hat so viele Möglichkeiten zur Hilfe. Dank dieser App habe ich mich in Französisch verbessert. Ich würde sie jedem empfehlen.
Samantha Klich
Android-Nutzerin
Wow, ich bin wirklich begeistert. Ich habe die App einfach mal ausprobiert, weil ich sie schon oft beworben gesehen habe und war absolut beeindruckt. Diese App ist DIE HILFE, die man für die Schule braucht und vor allem bietet sie so viele Dinge wie Übungen und Lernzettel, die mir persönlich SEHR geholfen haben.
Anna
iOS-Nutzerin
Beste App der Welt! Keine Worte, weil sie einfach zu gut ist
Thomas R
iOS-Nutzer
Einfach genial. Lässt mich 10x besser lernen, diese App ist eine glatte 10/10. Ich empfehle sie jedem. Ich kann Lernzettel anschauen und suchen. Ich kann sie im Fachordner speichern. Ich kann sie jederzeit wiederholen, wenn ich zurückkomme. Wenn du diese App noch nicht ausprobiert hast, verpasst du wirklich was.
Basil
Android-Nutzer
Diese App hat mich so viel selbstbewusster in meiner Klausurvorbereitung gemacht, nicht nur durch die Stärkung meines Selbstvertrauens durch die Features, die es dir ermöglichen, dich mit anderen zu vernetzen und dich weniger allein zu fühlen, sondern auch durch die Art, wie die App selbst darauf ausgerichtet ist, dass du dich besser fühlst. Sie ist einfach zu bedienen, macht Spaß und hilft jedem, der in irgendeiner Weise Schwierigkeiten hat.
David K
iOS-Nutzer
Die App ist einfach super! Ich muss nur das Thema in die Suche eingeben und bekomme sofort eine Antwort. Ich muss nicht mehr 10 YouTube-Videos schauen, um etwas zu verstehen, und spare dadurch richtig viel Zeit. Sehr empfehlenswert!
Sudenaz Ocak
Android-Nutzerin
In der Schule war ich echt schlecht in Mathe, aber dank der App bin ich jetzt besser geworden. Ich bin so dankbar, dass ihr die App gemacht habt.
Greenlight Bonnie
Android-Nutzerin
sehr zuverlässige App, um deine Ideen in Mathe, Englisch und anderen verwandten Themen zu verbessern. bitte nutze diese App, wenn du in bestimmten Bereichen Schwierigkeiten hast, diese App ist dafür der Schlüssel. wünschte, ich hätte früher eine Bewertung geschrieben. und sie ist auch kostenlos, also mach dir darüber keine Sorgen.
Rohan U
Android-Nutzer
Ich weiß, dass viele Apps gefälschte Accounts nutzen, um ihre Bewertungen zu pushen, aber diese App verdient das alles. Ursprünglich hatte ich eine 4 in meinen Englisch-Klausuren und dieses Mal habe ich eine 2 bekommen. Ich wusste erst drei Tage vor der Klausur von dieser App und sie hat mir SEHR geholfen. Bitte vertrau mir wirklich und nutze sie, denn ich bin sicher, dass auch du Fortschritte sehen wirst.
Xander S
iOS-Nutzer
DIE QUIZZE UND KARTEIKARTEN SIND SO NÜTZLICH UND ICH LIEBE Knowunity KI. ES IST AUCH BUCHSTÄBLICH WIE CHATGPT ABER SCHLAUER!! HAT MIR AUCH BEI MEINEN MASCARA-PROBLEMEN GEHOLFEN!! SOWIE BEI MEINEN ECHTEN FÄCHERN! NATÜRLICH 😍😁😲🤑💗✨🎀😮
Elisha
iOS-Nutzer
Diese App ist echt der Hammer. Ich finde Lernen so langweilig, aber diese App macht es so einfach, alles zu organisieren und dann kannst du die kostenlose KI bitten, dich abzufragen, so gut, und du kannst einfach deine eigenen Sachen hochladen. sehr empfehlenswert als jemand, der gerade Probeklausuren schreibt
Paul T
iOS-Nutzer