Mathe-Analysis kann erstmal überwältigend aussehen, aber eigentlich ist es nur... Mehr anzeigen
Melde dich an, um den Inhalt zu sehenKostenlos!
Zugriff auf alle Dokumente
Verbessere deine Noten
Schließ dich Millionen Schülern an
Knowunity KI
Fächer
Triangle Congruence and Similarity Theorems
Triangle Properties and Classification
Linear Equations and Graphs
Geometric Angle Relationships
Trigonometric Functions and Identities
Equation Solving Techniques
Circle Geometry Fundamentals
Division Operations and Methods
Basic Differentiation Rules
Exponent and Logarithm Properties
Alle Themen anzeigen
Human Organ Systems
Reproductive Cell Cycles
Biological Sciences Subdisciplines
Cellular Energy Metabolism
Autotrophic Energy Processes
Inheritance Patterns and Principles
Biomolecular Structure and Organization
Cell Cycle and Division Mechanics
Cellular Organization and Development
Biological Structural Organization
Alle Themen anzeigen
Chemical Sciences and Applications
Atomic Structure and Composition
Molecular Electron Structure Representation
Atomic Electron Behavior
Matter Properties and Water
Mole Concept and Calculations
Gas Laws and Behavior
Periodic Table Organization
Chemical Thermodynamics Fundamentals
Chemical Bond Types and Properties
Alle Themen anzeigen
European Renaissance and Enlightenment
European Cultural Movements 800-1920
American Revolution Era 1763-1797
American Civil War 1861-1865
Global Imperial Systems
Mongol and Chinese Dynasties
U.S. Presidents and World Leaders
Historical Sources and Documentation
World Wars Era and Impact
World Religious Systems
Alle Themen anzeigen
Classic and Contemporary Novels
Literary Character Analysis
Rhetorical Theory and Practice
Classic Literary Narratives
Reading Analysis and Interpretation
Narrative Structure and Techniques
English Language Components
Influential English-Language Authors
Basic Sentence Structure
Narrative Voice and Perspective
Alle Themen anzeigen
6,032
•
Aktualisiert May 3, 2026
•
Helene Kolarsch
@helenekolarsch_ulkk
Mathe-Analysis kann erstmal überwältigend aussehen, aber eigentlich ist es nur... Mehr anzeigen











Lineare Funktionen sind dein Einstieg in die Analysis und funktionieren nach dem Schema f(x) = mx + n. Das m ist die Steigung, das n der y-Achsenabschnitt.
Die Steigung berechnest du mit dem Steigungsdreieck: m = Δy/Δx. Positive Steigung bedeutet die Gerade steigt, negative bedeutet sie fällt. Bei m = 0 hast du eine waagerechte Linie.
Parallele Geraden haben identische Steigungen, orthogonale Geraden erfüllen die Bedingung m₁ · m₂ = -1. Für Schnittpunkte mit den Achsen setzt du einfach f(x) = 0 oder x = 0 .
Tipp: Der Steigungswinkel α lässt sich mit tan⁻¹(m) berechnen. Bei negativer Steigung rechnest du 180° - |α|.

Quadratische Funktionen erscheinen in drei verschiedenen Formen, die alle ihre Vorteile haben. Die Scheitelpunktform f(x) = a² + d zeigt dir sofort den Scheitelpunkt (c|d).
Der Parameter a bestimmt die Öffnung: a > 0 nach oben, a < 0 nach unten. |a| > 1 streckt die Parabel, |a| < 1 staucht sie. Die Parameter c und d verschieben horizontal bzw. vertikal.
Für die quadratische Ergänzung nimmst du die Hälfte des linearen Koeffizienten, quadrierst sie und addierst/subtrahierst entsprechend. Die pq-Formel hilft bei der Nullstellenberechnung: x = -p/2 ± √.
Merke: Bei zwei Nullstellen liegt der Scheitelpunkt genau in der Mitte zwischen beiden - das spart oft Rechenzeit!

Sinus und Kosinus sind periodische Funktionen mit der Periode 2π. Sie schwingen zwischen -1 und +1 und basieren auf dem Einheitskreis.
Die Sinusfunktion ist punktsymmetrisch zum Ursprung, die Kosinusfunktion achsensymmetrisch zur y-Achse. Wichtige Werte solltest du auswendig kennen: sin(0) = 0, sin(π/2) = 1, cos(0) = 1, cos(π/2) = 0.
Potenzfunktionen der Form f(x) = xⁿ verhalten sich je nach Exponent unterschiedlich. Gerade Exponenten sind achsensymmetrisch, ungerade punktsymmetrisch. Negative Exponenten erzeugen Hyperbeln.
Setup-Tipp: Stelle deinen Taschenrechner auf Bogenmaß (rad) um - das ist in der Analysis Standard!

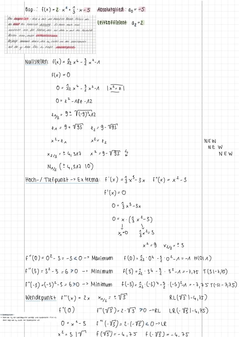
Bei ganzrationalen Funktionen bestimmt der höchste Exponent den Grad und das Globalverhalten. Der Leitkoeffizient (Faktor vor der höchsten Potenz) entscheidet über die Richtung.
Für Nullstellen setzt du f(x) = 0 und wendest Verfahren wie Substitution oder den Satz vom Nullprodukt an. Bei komplizierteren Termen hilft oft das Ausklammern.
Extremstellen findest du über f'(x) = 0, Wendepunkte über f''(x) = 0. Die zweite Ableitung verrät dir auch, ob es sich um Maximum (f''(x) < 0) oder Minimum (f''(x) > 0) handelt.
Praxis-Trick: Das Globalverhalten erkennst du schnell: Grad ungerade = verschiedene Richtungen, Grad gerade = gleiche Richtungen für ±∞.

Eine vollständige Kurvendiskussion folgt einem festen Schema. Starte mit Definitionsbereich und Symmetrie, dann Nullstellen und Achsenschnittpunkte.
Extrema berechnest du mit f'(x) = 0 und checkst das Ergebnis mit f''(x). Wendepunkte ergeben sich aus f''(x) = 0. Das Globalverhalten leitest du vom höchsten Term ab.
Bei Sattelpunkten gilt: Wendepunkt + waagerechte Tangente . Das ist ein Spezialfall, den du separat prüfen musst.
Struktur-Tipp: Arbeite systematisch - eine vergessene Ableitung kann deine ganze Kurvendiskussion durcheinanderbringen.

Ableitungen sind dein Werkzeug für lokale Steigungen und Tangentengleichungen. Für eine Tangente im Punkt P(x₀|f(x₀)) brauchst du m = f'(x₀) und die Punkt-Steigungsform.
Schnittwinkel zwischen zwei Funktionen berechnest du über α = |arctan|. Berührpunkte haben gleiche Funktionswerte UND gleiche Steigungen.
Normalengleichungen stehen senkrecht zur Tangente, also gilt mₙ = -1/m. Das Globalverhalten hängt vom Grad und Leitkoeffizienten ab - bei ungeraden Graden gehen die Äste in verschiedene Richtungen.
Wichtig: Schnittwinkel sind immer ≤ 90°. Falls dein Ergebnis größer ist, rechne 180° minus dein Ergebnis.

Exponentialfunktionen der Form f(x) = a·eˣ beschreiben exponentielles Wachstum (a > 0) oder Zerfall (a < 0). Die natürliche Exponentialfunktion eˣ ist dabei besonders wichtig.
Die Transformationen funktionieren wie bei anderen Funktionen: a streckt/staucht vertikal, c verschiebt horizontal, d verschiebt vertikal. Die Asymptote liegt bei y = d.
Den Wachstumsfaktor erkennst du durch den Quotiententest: Teile aufeinanderfolgende y-Werte. Ist der Quotient konstant, liegt exponentielles Wachstum vor.
Merke: eˣ wird niemals null! Bei Nullstellen von Produkten gilt daher nur der andere Faktor null (Satz vom Nullprodukt).

Die Ableitung von eˣ ist wieder eˣ - das macht e-Funktionen so praktisch. Bei zusammengesetzten Funktionen wendest du die Kettenregel an: (eᵍ⁽ˣ⁾)' = g'(x)·eᵍ⁽ˣ⁾.
Für Produkte mit e-Funktionen nutzt du die Produktregel: (u·v)' = u'·v + u·v'. Bei Gleichungen mit eˣ isolierst du oft den e-Term und wendest den Logarithmus an.
Grenzwerte bei e-Funktionen: e⁻ˣ → 0 für x → ∞, eˣ → ∞ für x → ∞. Bei verschobenen Funktionen bestimmt die Verschiebung d den Grenzwert.
Lösungsstrategie: Bei e-Gleichungen erst isolieren, dann logarithmieren. Bei Produkten den Nullprodukt-Satz anwenden.

Stammfunktionen von e-Funktionen findest du durch partielles Integrieren oder Koeffizientenvergleich. Für ∫eˣ dx gilt einfach eˣ + C.
Bei Produkten wie ·eˣ nutzt du den Ansatz F(x) = ·eˣ und bestimmst c und d durch Ableiten und Vergleichen mit der ursprünglichen Funktion.
Die Potenzgesetze helfen bei komplizierteren Exponentialtermen: aⁿ·aᵐ = aⁿ⁺ᵐ, aⁿ/aᵐ = aⁿ⁻ᵐ, (aⁿ)ᵐ = aⁿ·ᵐ.
Kontroll-Trick: Leite deine Stammfunktion ab - sie muss die ursprüngliche Funktion ergeben.

Bei der Rekonstruktion stellst du aus gegebenen Bedingungen die Funktionsgleichung auf. Anzahl der Unbekannten = Anzahl der Bedingungen - das ist dein Grundprinzip.
Punkte auf dem Graphen ergeben f(x₀) = y₀. Extremstellen bedeuten f'(x₀) = 0, Wendestellen f''(x₀) = 0. Du löst das entstehende Gleichungssystem am besten mit dem Taschenrechner.
Die Scheitelpunktform f(x) = a² + yₛ ist praktisch, wenn du den Scheitelpunkt kennst. Die Produktform f(x) = a nutzt du bei bekannten Nullstellen.
Systematik: Schreibe alle Bedingungen sauber auf, bevor du das Gleichungssystem aufstellst - das verhindert Flüchtigkeitsfehler.
Unser KI-Begleiter ist ein speziell für Schüler entwickeltes KI-Tool, das mehr als nur Antworten bietet. Basierend auf Millionen von Knowunity-Inhalten liefert er relevante Informationen, personalisierte Lernpläne, Quizze und Inhalte direkt im Chat und passt sich deinem individuellen Lernweg an.
Du kannst die App im Google Play Store und im Apple App Store herunterladen.
Genau! Genieße kostenlosen Zugang zu Lerninhalten, vernetze dich mit anderen Schülern und hol dir sofortige Hilfe – alles direkt auf deinem Handy.
App Store
Google Play
Die App ist sehr einfach zu bedienen und gut gestaltet. Ich habe bisher alles gefunden, wonach ich gesucht habe, und konnte viel aus den Präsentationen lernen! Ich werde die App definitiv für ein Schulprojekt nutzen! Und natürlich hilft sie auch sehr als Inspiration.
Stefan S
iOS-Nutzer
Diese App ist wirklich super. Es gibt so viele Lernzettel und Hilfen [...]. Mein Problemfach ist zum Beispiel Französisch und die App hat so viele Möglichkeiten zur Hilfe. Dank dieser App habe ich mich in Französisch verbessert. Ich würde sie jedem empfehlen.
Samantha Klich
Android-Nutzerin
Wow, ich bin wirklich begeistert. Ich habe die App einfach mal ausprobiert, weil ich sie schon oft beworben gesehen habe und war absolut beeindruckt. Diese App ist DIE HILFE, die man für die Schule braucht und vor allem bietet sie so viele Dinge wie Übungen und Lernzettel, die mir persönlich SEHR geholfen haben.
Anna
iOS-Nutzerin
Beste App der Welt! Keine Worte, weil sie einfach zu gut ist
Thomas R
iOS-Nutzer
Einfach genial. Lässt mich 10x besser lernen, diese App ist eine glatte 10/10. Ich empfehle sie jedem. Ich kann Lernzettel anschauen und suchen. Ich kann sie im Fachordner speichern. Ich kann sie jederzeit wiederholen, wenn ich zurückkomme. Wenn du diese App noch nicht ausprobiert hast, verpasst du wirklich was.
Basil
Android-Nutzer
Diese App hat mich so viel selbstbewusster in meiner Klausurvorbereitung gemacht, nicht nur durch die Stärkung meines Selbstvertrauens durch die Features, die es dir ermöglichen, dich mit anderen zu vernetzen und dich weniger allein zu fühlen, sondern auch durch die Art, wie die App selbst darauf ausgerichtet ist, dass du dich besser fühlst. Sie ist einfach zu bedienen, macht Spaß und hilft jedem, der in irgendeiner Weise Schwierigkeiten hat.
David K
iOS-Nutzer
Die App ist einfach super! Ich muss nur das Thema in die Suche eingeben und bekomme sofort eine Antwort. Ich muss nicht mehr 10 YouTube-Videos schauen, um etwas zu verstehen, und spare dadurch richtig viel Zeit. Sehr empfehlenswert!
Sudenaz Ocak
Android-Nutzerin
In der Schule war ich echt schlecht in Mathe, aber dank der App bin ich jetzt besser geworden. Ich bin so dankbar, dass ihr die App gemacht habt.
Greenlight Bonnie
Android-Nutzerin
sehr zuverlässige App, um deine Ideen in Mathe, Englisch und anderen verwandten Themen zu verbessern. bitte nutze diese App, wenn du in bestimmten Bereichen Schwierigkeiten hast, diese App ist dafür der Schlüssel. wünschte, ich hätte früher eine Bewertung geschrieben. und sie ist auch kostenlos, also mach dir darüber keine Sorgen.
Rohan U
Android-Nutzer
Ich weiß, dass viele Apps gefälschte Accounts nutzen, um ihre Bewertungen zu pushen, aber diese App verdient das alles. Ursprünglich hatte ich eine 4 in meinen Englisch-Klausuren und dieses Mal habe ich eine 2 bekommen. Ich wusste erst drei Tage vor der Klausur von dieser App und sie hat mir SEHR geholfen. Bitte vertrau mir wirklich und nutze sie, denn ich bin sicher, dass auch du Fortschritte sehen wirst.
Xander S
iOS-Nutzer
DIE QUIZZE UND KARTEIKARTEN SIND SO NÜTZLICH UND ICH LIEBE Knowunity KI. ES IST AUCH BUCHSTÄBLICH WIE CHATGPT ABER SCHLAUER!! HAT MIR AUCH BEI MEINEN MASCARA-PROBLEMEN GEHOLFEN!! SOWIE BEI MEINEN ECHTEN FÄCHERN! NATÜRLICH 😍😁😲🤑💗✨🎀😮
Elisha
iOS-Nutzer
Diese App ist echt der Hammer. Ich finde Lernen so langweilig, aber diese App macht es so einfach, alles zu organisieren und dann kannst du die kostenlose KI bitten, dich abzufragen, so gut, und du kannst einfach deine eigenen Sachen hochladen. sehr empfehlenswert als jemand, der gerade Probeklausuren schreibt
Paul T
iOS-Nutzer
Die App ist sehr einfach zu bedienen und gut gestaltet. Ich habe bisher alles gefunden, wonach ich gesucht habe, und konnte viel aus den Präsentationen lernen! Ich werde die App definitiv für ein Schulprojekt nutzen! Und natürlich hilft sie auch sehr als Inspiration.
Stefan S
iOS-Nutzer
Diese App ist wirklich super. Es gibt so viele Lernzettel und Hilfen [...]. Mein Problemfach ist zum Beispiel Französisch und die App hat so viele Möglichkeiten zur Hilfe. Dank dieser App habe ich mich in Französisch verbessert. Ich würde sie jedem empfehlen.
Samantha Klich
Android-Nutzerin
Wow, ich bin wirklich begeistert. Ich habe die App einfach mal ausprobiert, weil ich sie schon oft beworben gesehen habe und war absolut beeindruckt. Diese App ist DIE HILFE, die man für die Schule braucht und vor allem bietet sie so viele Dinge wie Übungen und Lernzettel, die mir persönlich SEHR geholfen haben.
Anna
iOS-Nutzerin
Beste App der Welt! Keine Worte, weil sie einfach zu gut ist
Thomas R
iOS-Nutzer
Einfach genial. Lässt mich 10x besser lernen, diese App ist eine glatte 10/10. Ich empfehle sie jedem. Ich kann Lernzettel anschauen und suchen. Ich kann sie im Fachordner speichern. Ich kann sie jederzeit wiederholen, wenn ich zurückkomme. Wenn du diese App noch nicht ausprobiert hast, verpasst du wirklich was.
Basil
Android-Nutzer
Diese App hat mich so viel selbstbewusster in meiner Klausurvorbereitung gemacht, nicht nur durch die Stärkung meines Selbstvertrauens durch die Features, die es dir ermöglichen, dich mit anderen zu vernetzen und dich weniger allein zu fühlen, sondern auch durch die Art, wie die App selbst darauf ausgerichtet ist, dass du dich besser fühlst. Sie ist einfach zu bedienen, macht Spaß und hilft jedem, der in irgendeiner Weise Schwierigkeiten hat.
David K
iOS-Nutzer
Die App ist einfach super! Ich muss nur das Thema in die Suche eingeben und bekomme sofort eine Antwort. Ich muss nicht mehr 10 YouTube-Videos schauen, um etwas zu verstehen, und spare dadurch richtig viel Zeit. Sehr empfehlenswert!
Sudenaz Ocak
Android-Nutzerin
In der Schule war ich echt schlecht in Mathe, aber dank der App bin ich jetzt besser geworden. Ich bin so dankbar, dass ihr die App gemacht habt.
Greenlight Bonnie
Android-Nutzerin
sehr zuverlässige App, um deine Ideen in Mathe, Englisch und anderen verwandten Themen zu verbessern. bitte nutze diese App, wenn du in bestimmten Bereichen Schwierigkeiten hast, diese App ist dafür der Schlüssel. wünschte, ich hätte früher eine Bewertung geschrieben. und sie ist auch kostenlos, also mach dir darüber keine Sorgen.
Rohan U
Android-Nutzer
Ich weiß, dass viele Apps gefälschte Accounts nutzen, um ihre Bewertungen zu pushen, aber diese App verdient das alles. Ursprünglich hatte ich eine 4 in meinen Englisch-Klausuren und dieses Mal habe ich eine 2 bekommen. Ich wusste erst drei Tage vor der Klausur von dieser App und sie hat mir SEHR geholfen. Bitte vertrau mir wirklich und nutze sie, denn ich bin sicher, dass auch du Fortschritte sehen wirst.
Xander S
iOS-Nutzer
DIE QUIZZE UND KARTEIKARTEN SIND SO NÜTZLICH UND ICH LIEBE Knowunity KI. ES IST AUCH BUCHSTÄBLICH WIE CHATGPT ABER SCHLAUER!! HAT MIR AUCH BEI MEINEN MASCARA-PROBLEMEN GEHOLFEN!! SOWIE BEI MEINEN ECHTEN FÄCHERN! NATÜRLICH 😍😁😲🤑💗✨🎀😮
Elisha
iOS-Nutzer
Diese App ist echt der Hammer. Ich finde Lernen so langweilig, aber diese App macht es so einfach, alles zu organisieren und dann kannst du die kostenlose KI bitten, dich abzufragen, so gut, und du kannst einfach deine eigenen Sachen hochladen. sehr empfehlenswert als jemand, der gerade Probeklausuren schreibt
Paul T
iOS-Nutzer
Helene Kolarsch
@helenekolarsch_ulkk
Mathe-Analysis kann erstmal überwältigend aussehen, aber eigentlich ist es nur ein großer Werkzeugkasten für verschiedene Funktionstypen. Von linearen Geraden über Parabeln bis hin zu e-Funktionen - jede hat ihre eigenen Tricks und Kniffe.

Zugriff auf alle Dokumente
Verbessere deine Noten
Schließ dich Millionen Schülern an
Lineare Funktionen sind dein Einstieg in die Analysis und funktionieren nach dem Schema f(x) = mx + n. Das m ist die Steigung, das n der y-Achsenabschnitt.
Die Steigung berechnest du mit dem Steigungsdreieck: m = Δy/Δx. Positive Steigung bedeutet die Gerade steigt, negative bedeutet sie fällt. Bei m = 0 hast du eine waagerechte Linie.
Parallele Geraden haben identische Steigungen, orthogonale Geraden erfüllen die Bedingung m₁ · m₂ = -1. Für Schnittpunkte mit den Achsen setzt du einfach f(x) = 0 oder x = 0 .
Tipp: Der Steigungswinkel α lässt sich mit tan⁻¹(m) berechnen. Bei negativer Steigung rechnest du 180° - |α|.

Zugriff auf alle Dokumente
Verbessere deine Noten
Schließ dich Millionen Schülern an
Quadratische Funktionen erscheinen in drei verschiedenen Formen, die alle ihre Vorteile haben. Die Scheitelpunktform f(x) = a² + d zeigt dir sofort den Scheitelpunkt (c|d).
Der Parameter a bestimmt die Öffnung: a > 0 nach oben, a < 0 nach unten. |a| > 1 streckt die Parabel, |a| < 1 staucht sie. Die Parameter c und d verschieben horizontal bzw. vertikal.
Für die quadratische Ergänzung nimmst du die Hälfte des linearen Koeffizienten, quadrierst sie und addierst/subtrahierst entsprechend. Die pq-Formel hilft bei der Nullstellenberechnung: x = -p/2 ± √.
Merke: Bei zwei Nullstellen liegt der Scheitelpunkt genau in der Mitte zwischen beiden - das spart oft Rechenzeit!

Zugriff auf alle Dokumente
Verbessere deine Noten
Schließ dich Millionen Schülern an
Sinus und Kosinus sind periodische Funktionen mit der Periode 2π. Sie schwingen zwischen -1 und +1 und basieren auf dem Einheitskreis.
Die Sinusfunktion ist punktsymmetrisch zum Ursprung, die Kosinusfunktion achsensymmetrisch zur y-Achse. Wichtige Werte solltest du auswendig kennen: sin(0) = 0, sin(π/2) = 1, cos(0) = 1, cos(π/2) = 0.
Potenzfunktionen der Form f(x) = xⁿ verhalten sich je nach Exponent unterschiedlich. Gerade Exponenten sind achsensymmetrisch, ungerade punktsymmetrisch. Negative Exponenten erzeugen Hyperbeln.
Setup-Tipp: Stelle deinen Taschenrechner auf Bogenmaß (rad) um - das ist in der Analysis Standard!

Zugriff auf alle Dokumente
Verbessere deine Noten
Schließ dich Millionen Schülern an
Bei ganzrationalen Funktionen bestimmt der höchste Exponent den Grad und das Globalverhalten. Der Leitkoeffizient (Faktor vor der höchsten Potenz) entscheidet über die Richtung.
Für Nullstellen setzt du f(x) = 0 und wendest Verfahren wie Substitution oder den Satz vom Nullprodukt an. Bei komplizierteren Termen hilft oft das Ausklammern.
Extremstellen findest du über f'(x) = 0, Wendepunkte über f''(x) = 0. Die zweite Ableitung verrät dir auch, ob es sich um Maximum (f''(x) < 0) oder Minimum (f''(x) > 0) handelt.
Praxis-Trick: Das Globalverhalten erkennst du schnell: Grad ungerade = verschiedene Richtungen, Grad gerade = gleiche Richtungen für ±∞.

Zugriff auf alle Dokumente
Verbessere deine Noten
Schließ dich Millionen Schülern an
Eine vollständige Kurvendiskussion folgt einem festen Schema. Starte mit Definitionsbereich und Symmetrie, dann Nullstellen und Achsenschnittpunkte.
Extrema berechnest du mit f'(x) = 0 und checkst das Ergebnis mit f''(x). Wendepunkte ergeben sich aus f''(x) = 0. Das Globalverhalten leitest du vom höchsten Term ab.
Bei Sattelpunkten gilt: Wendepunkt + waagerechte Tangente . Das ist ein Spezialfall, den du separat prüfen musst.
Struktur-Tipp: Arbeite systematisch - eine vergessene Ableitung kann deine ganze Kurvendiskussion durcheinanderbringen.

Zugriff auf alle Dokumente
Verbessere deine Noten
Schließ dich Millionen Schülern an
Ableitungen sind dein Werkzeug für lokale Steigungen und Tangentengleichungen. Für eine Tangente im Punkt P(x₀|f(x₀)) brauchst du m = f'(x₀) und die Punkt-Steigungsform.
Schnittwinkel zwischen zwei Funktionen berechnest du über α = |arctan|. Berührpunkte haben gleiche Funktionswerte UND gleiche Steigungen.
Normalengleichungen stehen senkrecht zur Tangente, also gilt mₙ = -1/m. Das Globalverhalten hängt vom Grad und Leitkoeffizienten ab - bei ungeraden Graden gehen die Äste in verschiedene Richtungen.
Wichtig: Schnittwinkel sind immer ≤ 90°. Falls dein Ergebnis größer ist, rechne 180° minus dein Ergebnis.

Zugriff auf alle Dokumente
Verbessere deine Noten
Schließ dich Millionen Schülern an
Exponentialfunktionen der Form f(x) = a·eˣ beschreiben exponentielles Wachstum (a > 0) oder Zerfall (a < 0). Die natürliche Exponentialfunktion eˣ ist dabei besonders wichtig.
Die Transformationen funktionieren wie bei anderen Funktionen: a streckt/staucht vertikal, c verschiebt horizontal, d verschiebt vertikal. Die Asymptote liegt bei y = d.
Den Wachstumsfaktor erkennst du durch den Quotiententest: Teile aufeinanderfolgende y-Werte. Ist der Quotient konstant, liegt exponentielles Wachstum vor.
Merke: eˣ wird niemals null! Bei Nullstellen von Produkten gilt daher nur der andere Faktor null (Satz vom Nullprodukt).

Zugriff auf alle Dokumente
Verbessere deine Noten
Schließ dich Millionen Schülern an
Die Ableitung von eˣ ist wieder eˣ - das macht e-Funktionen so praktisch. Bei zusammengesetzten Funktionen wendest du die Kettenregel an: (eᵍ⁽ˣ⁾)' = g'(x)·eᵍ⁽ˣ⁾.
Für Produkte mit e-Funktionen nutzt du die Produktregel: (u·v)' = u'·v + u·v'. Bei Gleichungen mit eˣ isolierst du oft den e-Term und wendest den Logarithmus an.
Grenzwerte bei e-Funktionen: e⁻ˣ → 0 für x → ∞, eˣ → ∞ für x → ∞. Bei verschobenen Funktionen bestimmt die Verschiebung d den Grenzwert.
Lösungsstrategie: Bei e-Gleichungen erst isolieren, dann logarithmieren. Bei Produkten den Nullprodukt-Satz anwenden.

Zugriff auf alle Dokumente
Verbessere deine Noten
Schließ dich Millionen Schülern an
Stammfunktionen von e-Funktionen findest du durch partielles Integrieren oder Koeffizientenvergleich. Für ∫eˣ dx gilt einfach eˣ + C.
Bei Produkten wie ·eˣ nutzt du den Ansatz F(x) = ·eˣ und bestimmst c und d durch Ableiten und Vergleichen mit der ursprünglichen Funktion.
Die Potenzgesetze helfen bei komplizierteren Exponentialtermen: aⁿ·aᵐ = aⁿ⁺ᵐ, aⁿ/aᵐ = aⁿ⁻ᵐ, (aⁿ)ᵐ = aⁿ·ᵐ.
Kontroll-Trick: Leite deine Stammfunktion ab - sie muss die ursprüngliche Funktion ergeben.

Zugriff auf alle Dokumente
Verbessere deine Noten
Schließ dich Millionen Schülern an
Bei der Rekonstruktion stellst du aus gegebenen Bedingungen die Funktionsgleichung auf. Anzahl der Unbekannten = Anzahl der Bedingungen - das ist dein Grundprinzip.
Punkte auf dem Graphen ergeben f(x₀) = y₀. Extremstellen bedeuten f'(x₀) = 0, Wendestellen f''(x₀) = 0. Du löst das entstehende Gleichungssystem am besten mit dem Taschenrechner.
Die Scheitelpunktform f(x) = a² + yₛ ist praktisch, wenn du den Scheitelpunkt kennst. Die Produktform f(x) = a nutzt du bei bekannten Nullstellen.
Systematik: Schreibe alle Bedingungen sauber auf, bevor du das Gleichungssystem aufstellst - das verhindert Flüchtigkeitsfehler.
Unser KI-Begleiter ist ein speziell für Schüler entwickeltes KI-Tool, das mehr als nur Antworten bietet. Basierend auf Millionen von Knowunity-Inhalten liefert er relevante Informationen, personalisierte Lernpläne, Quizze und Inhalte direkt im Chat und passt sich deinem individuellen Lernweg an.
Du kannst die App im Google Play Store und im Apple App Store herunterladen.
Genau! Genieße kostenlosen Zugang zu Lerninhalten, vernetze dich mit anderen Schülern und hol dir sofortige Hilfe – alles direkt auf deinem Handy.
142
Smart Tools NEU
Verwandle diesen Lernzettel in: ✓ 50+ Übungsfragen ✓ Interaktive Karteikarten ✓ Komplette Probeklausur ✓ Aufsatzgliederungen
Diese Zusammenfassung bietet einen umfassenden Überblick über die wichtigsten Themen der Analysis, Geometrie und Stochastik für das schriftliche Abitur 2022. Sie umfasst Differential- und Integralrechnung, Kurvendiskussion, analytische Geometrie sowie grundlegende Konzepte der Stochastik. Ideal für die Prüfungsvorbereitung und das Verständnis zentraler mathematischer Konzepte.
Entdecken Sie die Grundlagen der Ebenen in der Vektorgeometrie, einschließlich der Parameterform, Normalenform und der Berechnung von Spannvektoren. Diese Zusammenfassung behandelt wichtige Konzepte wie den Abstand von Punkten zu Ebenen, orthogonale Linien und die Umwandlung von Ebenengleichungen. Ideal für Studierende, die sich auf Prüfungen vorbereiten oder ihr Verständnis der Geometrie vertiefen möchten.
Erfahren Sie alles über das Gaußverfahren zur Lösung linearer Gleichungssysteme sowie die Lagebeziehungen zwischen Geraden und Ebenen. Diese Zusammenfassung enthält wichtige Konzepte wie Vektoren, orthogonale Linien und die Distanz von Punkten zu Ebenen, unterstützt durch anschauliche Beispiele.
Erfahre alles über Vektoren, Lagebeziehungen zwischen Linien und Ebenen, sowie Methoden zur Berechnung von Abständen. Diese Zusammenfassung behandelt das Skalarprodukt, Kreuzprodukt und die Bestimmung von Winkeln zwischen Vektoren. Ideal für Studierende der Geometrie und linearen Algebra.
Entdecke die Konzepte der Vektoren und Ebenen in der Mathematik. Diese Klausur behandelt die Orthogonalität von Vektoren, die Bestimmung von Schnittpunkten zwischen Linien und Ebenen sowie die Analyse von Koordinatengleichungen. Ideal für Studierende, die sich auf Prüfungen vorbereiten. (Klausur, Mathematik, Vektoren, Ebenen)
Umfassende Zusammenfassung der Mathematik für die 12. Klasse, einschließlich Geometrie, Differential- und Integralrechnung, Vektorgeometrie, Wahrscheinlichkeitsrechnung und mehr. Ideal für die Prüfungsvorbereitung und das Verständnis grundlegender Konzepte wie Integrationsmethoden, Abstände zwischen Punkten und Ebenen sowie die Hesse-Normalform.
App Store
Google Play
Die App ist sehr einfach zu bedienen und gut gestaltet. Ich habe bisher alles gefunden, wonach ich gesucht habe, und konnte viel aus den Präsentationen lernen! Ich werde die App definitiv für ein Schulprojekt nutzen! Und natürlich hilft sie auch sehr als Inspiration.
Stefan S
iOS-Nutzer
Diese App ist wirklich super. Es gibt so viele Lernzettel und Hilfen [...]. Mein Problemfach ist zum Beispiel Französisch und die App hat so viele Möglichkeiten zur Hilfe. Dank dieser App habe ich mich in Französisch verbessert. Ich würde sie jedem empfehlen.
Samantha Klich
Android-Nutzerin
Wow, ich bin wirklich begeistert. Ich habe die App einfach mal ausprobiert, weil ich sie schon oft beworben gesehen habe und war absolut beeindruckt. Diese App ist DIE HILFE, die man für die Schule braucht und vor allem bietet sie so viele Dinge wie Übungen und Lernzettel, die mir persönlich SEHR geholfen haben.
Anna
iOS-Nutzerin
Beste App der Welt! Keine Worte, weil sie einfach zu gut ist
Thomas R
iOS-Nutzer
Einfach genial. Lässt mich 10x besser lernen, diese App ist eine glatte 10/10. Ich empfehle sie jedem. Ich kann Lernzettel anschauen und suchen. Ich kann sie im Fachordner speichern. Ich kann sie jederzeit wiederholen, wenn ich zurückkomme. Wenn du diese App noch nicht ausprobiert hast, verpasst du wirklich was.
Basil
Android-Nutzer
Diese App hat mich so viel selbstbewusster in meiner Klausurvorbereitung gemacht, nicht nur durch die Stärkung meines Selbstvertrauens durch die Features, die es dir ermöglichen, dich mit anderen zu vernetzen und dich weniger allein zu fühlen, sondern auch durch die Art, wie die App selbst darauf ausgerichtet ist, dass du dich besser fühlst. Sie ist einfach zu bedienen, macht Spaß und hilft jedem, der in irgendeiner Weise Schwierigkeiten hat.
David K
iOS-Nutzer
Die App ist einfach super! Ich muss nur das Thema in die Suche eingeben und bekomme sofort eine Antwort. Ich muss nicht mehr 10 YouTube-Videos schauen, um etwas zu verstehen, und spare dadurch richtig viel Zeit. Sehr empfehlenswert!
Sudenaz Ocak
Android-Nutzerin
In der Schule war ich echt schlecht in Mathe, aber dank der App bin ich jetzt besser geworden. Ich bin so dankbar, dass ihr die App gemacht habt.
Greenlight Bonnie
Android-Nutzerin
sehr zuverlässige App, um deine Ideen in Mathe, Englisch und anderen verwandten Themen zu verbessern. bitte nutze diese App, wenn du in bestimmten Bereichen Schwierigkeiten hast, diese App ist dafür der Schlüssel. wünschte, ich hätte früher eine Bewertung geschrieben. und sie ist auch kostenlos, also mach dir darüber keine Sorgen.
Rohan U
Android-Nutzer
Ich weiß, dass viele Apps gefälschte Accounts nutzen, um ihre Bewertungen zu pushen, aber diese App verdient das alles. Ursprünglich hatte ich eine 4 in meinen Englisch-Klausuren und dieses Mal habe ich eine 2 bekommen. Ich wusste erst drei Tage vor der Klausur von dieser App und sie hat mir SEHR geholfen. Bitte vertrau mir wirklich und nutze sie, denn ich bin sicher, dass auch du Fortschritte sehen wirst.
Xander S
iOS-Nutzer
DIE QUIZZE UND KARTEIKARTEN SIND SO NÜTZLICH UND ICH LIEBE Knowunity KI. ES IST AUCH BUCHSTÄBLICH WIE CHATGPT ABER SCHLAUER!! HAT MIR AUCH BEI MEINEN MASCARA-PROBLEMEN GEHOLFEN!! SOWIE BEI MEINEN ECHTEN FÄCHERN! NATÜRLICH 😍😁😲🤑💗✨🎀😮
Elisha
iOS-Nutzer
Diese App ist echt der Hammer. Ich finde Lernen so langweilig, aber diese App macht es so einfach, alles zu organisieren und dann kannst du die kostenlose KI bitten, dich abzufragen, so gut, und du kannst einfach deine eigenen Sachen hochladen. sehr empfehlenswert als jemand, der gerade Probeklausuren schreibt
Paul T
iOS-Nutzer
Die App ist sehr einfach zu bedienen und gut gestaltet. Ich habe bisher alles gefunden, wonach ich gesucht habe, und konnte viel aus den Präsentationen lernen! Ich werde die App definitiv für ein Schulprojekt nutzen! Und natürlich hilft sie auch sehr als Inspiration.
Stefan S
iOS-Nutzer
Diese App ist wirklich super. Es gibt so viele Lernzettel und Hilfen [...]. Mein Problemfach ist zum Beispiel Französisch und die App hat so viele Möglichkeiten zur Hilfe. Dank dieser App habe ich mich in Französisch verbessert. Ich würde sie jedem empfehlen.
Samantha Klich
Android-Nutzerin
Wow, ich bin wirklich begeistert. Ich habe die App einfach mal ausprobiert, weil ich sie schon oft beworben gesehen habe und war absolut beeindruckt. Diese App ist DIE HILFE, die man für die Schule braucht und vor allem bietet sie so viele Dinge wie Übungen und Lernzettel, die mir persönlich SEHR geholfen haben.
Anna
iOS-Nutzerin
Beste App der Welt! Keine Worte, weil sie einfach zu gut ist
Thomas R
iOS-Nutzer
Einfach genial. Lässt mich 10x besser lernen, diese App ist eine glatte 10/10. Ich empfehle sie jedem. Ich kann Lernzettel anschauen und suchen. Ich kann sie im Fachordner speichern. Ich kann sie jederzeit wiederholen, wenn ich zurückkomme. Wenn du diese App noch nicht ausprobiert hast, verpasst du wirklich was.
Basil
Android-Nutzer
Diese App hat mich so viel selbstbewusster in meiner Klausurvorbereitung gemacht, nicht nur durch die Stärkung meines Selbstvertrauens durch die Features, die es dir ermöglichen, dich mit anderen zu vernetzen und dich weniger allein zu fühlen, sondern auch durch die Art, wie die App selbst darauf ausgerichtet ist, dass du dich besser fühlst. Sie ist einfach zu bedienen, macht Spaß und hilft jedem, der in irgendeiner Weise Schwierigkeiten hat.
David K
iOS-Nutzer
Die App ist einfach super! Ich muss nur das Thema in die Suche eingeben und bekomme sofort eine Antwort. Ich muss nicht mehr 10 YouTube-Videos schauen, um etwas zu verstehen, und spare dadurch richtig viel Zeit. Sehr empfehlenswert!
Sudenaz Ocak
Android-Nutzerin
In der Schule war ich echt schlecht in Mathe, aber dank der App bin ich jetzt besser geworden. Ich bin so dankbar, dass ihr die App gemacht habt.
Greenlight Bonnie
Android-Nutzerin
sehr zuverlässige App, um deine Ideen in Mathe, Englisch und anderen verwandten Themen zu verbessern. bitte nutze diese App, wenn du in bestimmten Bereichen Schwierigkeiten hast, diese App ist dafür der Schlüssel. wünschte, ich hätte früher eine Bewertung geschrieben. und sie ist auch kostenlos, also mach dir darüber keine Sorgen.
Rohan U
Android-Nutzer
Ich weiß, dass viele Apps gefälschte Accounts nutzen, um ihre Bewertungen zu pushen, aber diese App verdient das alles. Ursprünglich hatte ich eine 4 in meinen Englisch-Klausuren und dieses Mal habe ich eine 2 bekommen. Ich wusste erst drei Tage vor der Klausur von dieser App und sie hat mir SEHR geholfen. Bitte vertrau mir wirklich und nutze sie, denn ich bin sicher, dass auch du Fortschritte sehen wirst.
Xander S
iOS-Nutzer
DIE QUIZZE UND KARTEIKARTEN SIND SO NÜTZLICH UND ICH LIEBE Knowunity KI. ES IST AUCH BUCHSTÄBLICH WIE CHATGPT ABER SCHLAUER!! HAT MIR AUCH BEI MEINEN MASCARA-PROBLEMEN GEHOLFEN!! SOWIE BEI MEINEN ECHTEN FÄCHERN! NATÜRLICH 😍😁😲🤑💗✨🎀😮
Elisha
iOS-Nutzer
Diese App ist echt der Hammer. Ich finde Lernen so langweilig, aber diese App macht es so einfach, alles zu organisieren und dann kannst du die kostenlose KI bitten, dich abzufragen, so gut, und du kannst einfach deine eigenen Sachen hochladen. sehr empfehlenswert als jemand, der gerade Probeklausuren schreibt
Paul T
iOS-Nutzer