In der analytischen Geometrie arbeitet ihr mit Punkten, Vektoren, Geraden... Mehr anzeigen
Melde dich an, um den Inhalt zu sehenKostenlos!
Zugriff auf alle Dokumente
Verbessere deine Noten
Schließ dich Millionen Schülern an
Knowunity KI
Fächer
Triangle Congruence and Similarity Theorems
Triangle Properties and Classification
Linear Equations and Graphs
Geometric Angle Relationships
Trigonometric Functions and Identities
Equation Solving Techniques
Circle Geometry Fundamentals
Division Operations and Methods
Basic Differentiation Rules
Exponent and Logarithm Properties
Alle Themen anzeigen
Human Organ Systems
Reproductive Cell Cycles
Biological Sciences Subdisciplines
Cellular Energy Metabolism
Autotrophic Energy Processes
Inheritance Patterns and Principles
Biomolecular Structure and Organization
Cell Cycle and Division Mechanics
Cellular Organization and Development
Biological Structural Organization
Alle Themen anzeigen
Chemical Sciences and Applications
Atomic Structure and Composition
Molecular Electron Structure Representation
Atomic Electron Behavior
Matter Properties and Water
Mole Concept and Calculations
Gas Laws and Behavior
Periodic Table Organization
Chemical Thermodynamics Fundamentals
Chemical Bond Types and Properties
Alle Themen anzeigen
European Renaissance and Enlightenment
European Cultural Movements 800-1920
American Revolution Era 1763-1797
American Civil War 1861-1865
Global Imperial Systems
Mongol and Chinese Dynasties
U.S. Presidents and World Leaders
Historical Sources and Documentation
World Wars Era and Impact
World Religious Systems
Alle Themen anzeigen
Classic and Contemporary Novels
Literary Character Analysis
Rhetorical Theory and Practice
Classic Literary Narratives
Reading Analysis and Interpretation
Narrative Structure and Techniques
English Language Components
Influential English-Language Authors
Basic Sentence Structure
Narrative Voice and Perspective
Alle Themen anzeigen
495
•
Aktualisiert Apr 3, 2026
•
Luzie Kulhavy
@luziekulhavy_ijvp
In der analytischen Geometrie arbeitet ihr mit Punkten, Vektoren, Geraden... Mehr anzeigen









Punkte im Raum werden durch drei Koordinaten dargestellt, zum Beispiel A(1|2|3). Der Ortsvektor zeigt vom Koordinatenursprung zu diesem Punkt und wird als Spaltenvektor geschrieben.
Wenn ihr den Vektor zwischen zwei Punkten berechnen wollt, subtrahiert ihr einfach die Koordinaten: . Das bedeutet, ihr rechnet für jede Koordinate b - a.
Den Abstand zwischen zwei Punkten findet ihr mit der 3D-Distanzformel: . Das ist praktisch der Satz des Pythagoras in drei Dimensionen.
Merktipp: Vektor = Endpunkt minus Startpunkt!

Eine Gerade wird durch eine Parametergleichung beschrieben: . Dabei ist der Stützvektor (zeigt zu einem beliebigen Punkt auf der Gerade) und der Richtungsvektor (gibt die Richtung an).
Um eine Gerade durch zwei Punkte aufzustellen, nehmt ihr einen Punkt als Stützvektor und berechnet den Vektor zwischen beiden Punkten als Richtungsvektor. Der Parameter t kann alle reellen Zahlen annehmen.
Durch Einsetzen verschiedener t-Werte erhaltet ihr alle Punkte, die auf der Gerade liegen. Das ist super praktisch für Berechnungen!
Praxis-Tipp: Ihr könnt jeden beliebigen Punkt auf der Gerade als Stützvektor wählen - das Ergebnis bleibt dasselbe.

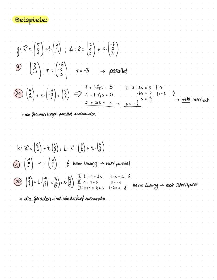
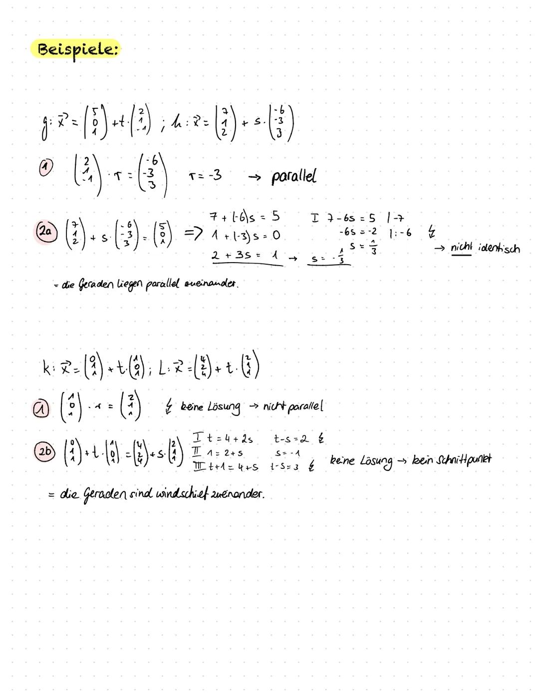
Zwei Geraden können vier verschiedene Beziehungen zueinander haben. Zuerst prüft ihr, ob die Richtungsvektoren parallel sind (einer ist ein Vielfaches des anderen).
Falls ja, sind die Geraden entweder parallel oder identisch. Um das zu unterscheiden, setzt ihr den Stützvektor der einen Gerade in die andere ein. Gibt es eine Lösung, sind sie identisch.
Falls die Richtungsvektoren nicht parallel sind, setzt ihr die Geraden gleich. Eine Lösung bedeutet Schnittpunkt, keine Lösung bedeutet die Geraden sind windschief (kreuzen sich ohne sich zu berühren).
Windschief gibt's nur im 3D-Raum - das ist der spannende Unterschied zur 2D-Geometrie!

Bei der praktischen Berechnung geht ihr systematisch vor. Zuerst prüft ihr die Richtungsvektoren: Ist für eine Zahl k? Dann sind die Geraden parallel.
Für parallele Geraden testet ihr, ob sie identisch sind, indem ihr einen Punkt der ersten Gerade in die zweite einsetzt. Das führt zu einem linearen Gleichungssystem.
Bei nicht-parallelen Geraden setzt ihr die Parametergleichungen gleich und löst das entstehende LGS. Gibt es eine eindeutige Lösung, habt ihr den Schnittpunkt gefunden.
LGS-Tipp: Keine Lösung = windschief, eine Lösung = Schnittpunkt, unendlich viele = identisch!

Eine Ebene wird durch die Parameterform dargestellt: . Hier ist der Stützvektor und sind die beiden Spannvektoren.
Für die Lagebeziehung zwischen Gerade und Ebene setzt ihr beide gleich. Je nach Anzahl der Lösungen des LGS erkennt ihr die Beziehung: Eine Lösung = Schnittpunkt, keine Lösung = parallel, unendlich viele = Gerade liegt in der Ebene.
Die beiden Spannvektoren dürfen niemals Vielfache voneinander sein, sonst beschreiben sie keine vollständige Ebene, sondern nur eine Gerade.
Wichtig: Drei Punkte bestimmen eindeutig eine Ebene - vorausgesetzt, sie liegen nicht auf einer Geraden!

Beim Lösen von Gerade-Ebene-Problemen setzt ihr die Parametergleichungen gleich und erhaltet ein System mit drei Gleichungen und drei Unbekannten (r, s, t).
Um den Schnittpunkt zu berechnen, setzt ihr die gefundenen Parameter in eine der ursprünglichen Gleichungen ein. Kontrolliert euer Ergebnis, indem ihr den Punkt in beide Gleichungen einsetzt.
Parallel bedeutet, dass die Gerade niemals die Ebene trifft - das LGS hat keine Lösung. Gerade liegt in der Ebene bedeutet unendlich viele Berührpunkte.
Kontrolltipp: Setzt euren berechneten Schnittpunkt zur Probe in beide ursprünglichen Gleichungen ein!

Um eine Ebenengleichung zu erstellen, braucht ihr drei Punkte, die nicht auf einer Geraden liegen. Einen davon wählt ihr als Stützvektor, die anderen zwei ergeben die Spannvektoren.
Die Spannvektoren berechnet ihr als Vektoren vom Stützpunkt zu den beiden anderen Punkten. Wichtig: Sie dürfen nicht parallel sein (kein Vielfaches voneinander).
In Anwendungsaufgaben gebt ihr oft reale Situationen an - wie ein Tuch, das an drei Punkten befestigt ist. Die Mathematik bleibt dieselbe: Drei Punkte → eine Ebene.
Praxis-Check: Sind eure Spannvektoren parallel? Dann habt ihr nur drei Punkte auf einer Geraden erwischt!

Orthogonale Vektoren erkennt ihr am Skalarprodukt: . Das ist wichtig für rechte Winkel im Raum.
Der Betrag eines Vektors entspricht seiner Länge: . Das ist die 3D-Version des Satzes von Pythagoras.
Für Lagebeziehungen geht ihr immer systematisch vor: Erst parallel prüfen, dann identisch oder schneidend, zum Schluss orthogonal falls nötig.
Erfolgs-Strategie: Arbeitet immer schrittweise - erst die Richtungsvektoren analysieren, dann die konkreten Punkte einsetzen!
Unser KI-Begleiter ist ein speziell für Schüler entwickeltes KI-Tool, das mehr als nur Antworten bietet. Basierend auf Millionen von Knowunity-Inhalten liefert er relevante Informationen, personalisierte Lernpläne, Quizze und Inhalte direkt im Chat und passt sich deinem individuellen Lernweg an.
Du kannst die App im Google Play Store und im Apple App Store herunterladen.
Genau! Genieße kostenlosen Zugang zu Lerninhalten, vernetze dich mit anderen Schülern und hol dir sofortige Hilfe – alles direkt auf deinem Handy.
App Store
Google Play
Die App ist sehr einfach zu bedienen und gut gestaltet. Ich habe bisher alles gefunden, wonach ich gesucht habe, und konnte viel aus den Präsentationen lernen! Ich werde die App definitiv für ein Schulprojekt nutzen! Und natürlich hilft sie auch sehr als Inspiration.
Stefan S
iOS-Nutzer
Diese App ist wirklich super. Es gibt so viele Lernzettel und Hilfen [...]. Mein Problemfach ist zum Beispiel Französisch und die App hat so viele Möglichkeiten zur Hilfe. Dank dieser App habe ich mich in Französisch verbessert. Ich würde sie jedem empfehlen.
Samantha Klich
Android-Nutzerin
Wow, ich bin wirklich begeistert. Ich habe die App einfach mal ausprobiert, weil ich sie schon oft beworben gesehen habe und war absolut beeindruckt. Diese App ist DIE HILFE, die man für die Schule braucht und vor allem bietet sie so viele Dinge wie Übungen und Lernzettel, die mir persönlich SEHR geholfen haben.
Anna
iOS-Nutzerin
Beste App der Welt! Keine Worte, weil sie einfach zu gut ist
Thomas R
iOS-Nutzer
Einfach genial. Lässt mich 10x besser lernen, diese App ist eine glatte 10/10. Ich empfehle sie jedem. Ich kann Lernzettel anschauen und suchen. Ich kann sie im Fachordner speichern. Ich kann sie jederzeit wiederholen, wenn ich zurückkomme. Wenn du diese App noch nicht ausprobiert hast, verpasst du wirklich was.
Basil
Android-Nutzer
Diese App hat mich so viel selbstbewusster in meiner Klausurvorbereitung gemacht, nicht nur durch die Stärkung meines Selbstvertrauens durch die Features, die es dir ermöglichen, dich mit anderen zu vernetzen und dich weniger allein zu fühlen, sondern auch durch die Art, wie die App selbst darauf ausgerichtet ist, dass du dich besser fühlst. Sie ist einfach zu bedienen, macht Spaß und hilft jedem, der in irgendeiner Weise Schwierigkeiten hat.
David K
iOS-Nutzer
Die App ist einfach super! Ich muss nur das Thema in die Suche eingeben und bekomme sofort eine Antwort. Ich muss nicht mehr 10 YouTube-Videos schauen, um etwas zu verstehen, und spare dadurch richtig viel Zeit. Sehr empfehlenswert!
Sudenaz Ocak
Android-Nutzerin
In der Schule war ich echt schlecht in Mathe, aber dank der App bin ich jetzt besser geworden. Ich bin so dankbar, dass ihr die App gemacht habt.
Greenlight Bonnie
Android-Nutzerin
sehr zuverlässige App, um deine Ideen in Mathe, Englisch und anderen verwandten Themen zu verbessern. bitte nutze diese App, wenn du in bestimmten Bereichen Schwierigkeiten hast, diese App ist dafür der Schlüssel. wünschte, ich hätte früher eine Bewertung geschrieben. und sie ist auch kostenlos, also mach dir darüber keine Sorgen.
Rohan U
Android-Nutzer
Ich weiß, dass viele Apps gefälschte Accounts nutzen, um ihre Bewertungen zu pushen, aber diese App verdient das alles. Ursprünglich hatte ich eine 4 in meinen Englisch-Klausuren und dieses Mal habe ich eine 2 bekommen. Ich wusste erst drei Tage vor der Klausur von dieser App und sie hat mir SEHR geholfen. Bitte vertrau mir wirklich und nutze sie, denn ich bin sicher, dass auch du Fortschritte sehen wirst.
Xander S
iOS-Nutzer
DIE QUIZZE UND KARTEIKARTEN SIND SO NÜTZLICH UND ICH LIEBE Knowunity KI. ES IST AUCH BUCHSTÄBLICH WIE CHATGPT ABER SCHLAUER!! HAT MIR AUCH BEI MEINEN MASCARA-PROBLEMEN GEHOLFEN!! SOWIE BEI MEINEN ECHTEN FÄCHERN! NATÜRLICH 😍😁😲🤑💗✨🎀😮
Elisha
iOS-Nutzer
Diese App ist echt der Hammer. Ich finde Lernen so langweilig, aber diese App macht es so einfach, alles zu organisieren und dann kannst du die kostenlose KI bitten, dich abzufragen, so gut, und du kannst einfach deine eigenen Sachen hochladen. sehr empfehlenswert als jemand, der gerade Probeklausuren schreibt
Paul T
iOS-Nutzer
Die App ist sehr einfach zu bedienen und gut gestaltet. Ich habe bisher alles gefunden, wonach ich gesucht habe, und konnte viel aus den Präsentationen lernen! Ich werde die App definitiv für ein Schulprojekt nutzen! Und natürlich hilft sie auch sehr als Inspiration.
Stefan S
iOS-Nutzer
Diese App ist wirklich super. Es gibt so viele Lernzettel und Hilfen [...]. Mein Problemfach ist zum Beispiel Französisch und die App hat so viele Möglichkeiten zur Hilfe. Dank dieser App habe ich mich in Französisch verbessert. Ich würde sie jedem empfehlen.
Samantha Klich
Android-Nutzerin
Wow, ich bin wirklich begeistert. Ich habe die App einfach mal ausprobiert, weil ich sie schon oft beworben gesehen habe und war absolut beeindruckt. Diese App ist DIE HILFE, die man für die Schule braucht und vor allem bietet sie so viele Dinge wie Übungen und Lernzettel, die mir persönlich SEHR geholfen haben.
Anna
iOS-Nutzerin
Beste App der Welt! Keine Worte, weil sie einfach zu gut ist
Thomas R
iOS-Nutzer
Einfach genial. Lässt mich 10x besser lernen, diese App ist eine glatte 10/10. Ich empfehle sie jedem. Ich kann Lernzettel anschauen und suchen. Ich kann sie im Fachordner speichern. Ich kann sie jederzeit wiederholen, wenn ich zurückkomme. Wenn du diese App noch nicht ausprobiert hast, verpasst du wirklich was.
Basil
Android-Nutzer
Diese App hat mich so viel selbstbewusster in meiner Klausurvorbereitung gemacht, nicht nur durch die Stärkung meines Selbstvertrauens durch die Features, die es dir ermöglichen, dich mit anderen zu vernetzen und dich weniger allein zu fühlen, sondern auch durch die Art, wie die App selbst darauf ausgerichtet ist, dass du dich besser fühlst. Sie ist einfach zu bedienen, macht Spaß und hilft jedem, der in irgendeiner Weise Schwierigkeiten hat.
David K
iOS-Nutzer
Die App ist einfach super! Ich muss nur das Thema in die Suche eingeben und bekomme sofort eine Antwort. Ich muss nicht mehr 10 YouTube-Videos schauen, um etwas zu verstehen, und spare dadurch richtig viel Zeit. Sehr empfehlenswert!
Sudenaz Ocak
Android-Nutzerin
In der Schule war ich echt schlecht in Mathe, aber dank der App bin ich jetzt besser geworden. Ich bin so dankbar, dass ihr die App gemacht habt.
Greenlight Bonnie
Android-Nutzerin
sehr zuverlässige App, um deine Ideen in Mathe, Englisch und anderen verwandten Themen zu verbessern. bitte nutze diese App, wenn du in bestimmten Bereichen Schwierigkeiten hast, diese App ist dafür der Schlüssel. wünschte, ich hätte früher eine Bewertung geschrieben. und sie ist auch kostenlos, also mach dir darüber keine Sorgen.
Rohan U
Android-Nutzer
Ich weiß, dass viele Apps gefälschte Accounts nutzen, um ihre Bewertungen zu pushen, aber diese App verdient das alles. Ursprünglich hatte ich eine 4 in meinen Englisch-Klausuren und dieses Mal habe ich eine 2 bekommen. Ich wusste erst drei Tage vor der Klausur von dieser App und sie hat mir SEHR geholfen. Bitte vertrau mir wirklich und nutze sie, denn ich bin sicher, dass auch du Fortschritte sehen wirst.
Xander S
iOS-Nutzer
DIE QUIZZE UND KARTEIKARTEN SIND SO NÜTZLICH UND ICH LIEBE Knowunity KI. ES IST AUCH BUCHSTÄBLICH WIE CHATGPT ABER SCHLAUER!! HAT MIR AUCH BEI MEINEN MASCARA-PROBLEMEN GEHOLFEN!! SOWIE BEI MEINEN ECHTEN FÄCHERN! NATÜRLICH 😍😁😲🤑💗✨🎀😮
Elisha
iOS-Nutzer
Diese App ist echt der Hammer. Ich finde Lernen so langweilig, aber diese App macht es so einfach, alles zu organisieren und dann kannst du die kostenlose KI bitten, dich abzufragen, so gut, und du kannst einfach deine eigenen Sachen hochladen. sehr empfehlenswert als jemand, der gerade Probeklausuren schreibt
Paul T
iOS-Nutzer
Luzie Kulhavy
@luziekulhavy_ijvp
In der analytischen Geometrie arbeitet ihr mit Punkten, Vektoren, Geraden und Ebenen im dreidimensionalen Raum. Diese Konzepte helfen euch dabei, räumliche Beziehungen mathematisch zu beschreiben und zu analysieren.

Zugriff auf alle Dokumente
Verbessere deine Noten
Schließ dich Millionen Schülern an
Punkte im Raum werden durch drei Koordinaten dargestellt, zum Beispiel A(1|2|3). Der Ortsvektor zeigt vom Koordinatenursprung zu diesem Punkt und wird als Spaltenvektor geschrieben.
Wenn ihr den Vektor zwischen zwei Punkten berechnen wollt, subtrahiert ihr einfach die Koordinaten: . Das bedeutet, ihr rechnet für jede Koordinate b - a.
Den Abstand zwischen zwei Punkten findet ihr mit der 3D-Distanzformel: . Das ist praktisch der Satz des Pythagoras in drei Dimensionen.
Merktipp: Vektor = Endpunkt minus Startpunkt!

Zugriff auf alle Dokumente
Verbessere deine Noten
Schließ dich Millionen Schülern an
Eine Gerade wird durch eine Parametergleichung beschrieben: . Dabei ist der Stützvektor (zeigt zu einem beliebigen Punkt auf der Gerade) und der Richtungsvektor (gibt die Richtung an).
Um eine Gerade durch zwei Punkte aufzustellen, nehmt ihr einen Punkt als Stützvektor und berechnet den Vektor zwischen beiden Punkten als Richtungsvektor. Der Parameter t kann alle reellen Zahlen annehmen.
Durch Einsetzen verschiedener t-Werte erhaltet ihr alle Punkte, die auf der Gerade liegen. Das ist super praktisch für Berechnungen!
Praxis-Tipp: Ihr könnt jeden beliebigen Punkt auf der Gerade als Stützvektor wählen - das Ergebnis bleibt dasselbe.

Zugriff auf alle Dokumente
Verbessere deine Noten
Schließ dich Millionen Schülern an
Zwei Geraden können vier verschiedene Beziehungen zueinander haben. Zuerst prüft ihr, ob die Richtungsvektoren parallel sind (einer ist ein Vielfaches des anderen).
Falls ja, sind die Geraden entweder parallel oder identisch. Um das zu unterscheiden, setzt ihr den Stützvektor der einen Gerade in die andere ein. Gibt es eine Lösung, sind sie identisch.
Falls die Richtungsvektoren nicht parallel sind, setzt ihr die Geraden gleich. Eine Lösung bedeutet Schnittpunkt, keine Lösung bedeutet die Geraden sind windschief (kreuzen sich ohne sich zu berühren).
Windschief gibt's nur im 3D-Raum - das ist der spannende Unterschied zur 2D-Geometrie!

Zugriff auf alle Dokumente
Verbessere deine Noten
Schließ dich Millionen Schülern an
Bei der praktischen Berechnung geht ihr systematisch vor. Zuerst prüft ihr die Richtungsvektoren: Ist für eine Zahl k? Dann sind die Geraden parallel.
Für parallele Geraden testet ihr, ob sie identisch sind, indem ihr einen Punkt der ersten Gerade in die zweite einsetzt. Das führt zu einem linearen Gleichungssystem.
Bei nicht-parallelen Geraden setzt ihr die Parametergleichungen gleich und löst das entstehende LGS. Gibt es eine eindeutige Lösung, habt ihr den Schnittpunkt gefunden.
LGS-Tipp: Keine Lösung = windschief, eine Lösung = Schnittpunkt, unendlich viele = identisch!

Zugriff auf alle Dokumente
Verbessere deine Noten
Schließ dich Millionen Schülern an
Eine Ebene wird durch die Parameterform dargestellt: . Hier ist der Stützvektor und sind die beiden Spannvektoren.
Für die Lagebeziehung zwischen Gerade und Ebene setzt ihr beide gleich. Je nach Anzahl der Lösungen des LGS erkennt ihr die Beziehung: Eine Lösung = Schnittpunkt, keine Lösung = parallel, unendlich viele = Gerade liegt in der Ebene.
Die beiden Spannvektoren dürfen niemals Vielfache voneinander sein, sonst beschreiben sie keine vollständige Ebene, sondern nur eine Gerade.
Wichtig: Drei Punkte bestimmen eindeutig eine Ebene - vorausgesetzt, sie liegen nicht auf einer Geraden!

Zugriff auf alle Dokumente
Verbessere deine Noten
Schließ dich Millionen Schülern an
Beim Lösen von Gerade-Ebene-Problemen setzt ihr die Parametergleichungen gleich und erhaltet ein System mit drei Gleichungen und drei Unbekannten (r, s, t).
Um den Schnittpunkt zu berechnen, setzt ihr die gefundenen Parameter in eine der ursprünglichen Gleichungen ein. Kontrolliert euer Ergebnis, indem ihr den Punkt in beide Gleichungen einsetzt.
Parallel bedeutet, dass die Gerade niemals die Ebene trifft - das LGS hat keine Lösung. Gerade liegt in der Ebene bedeutet unendlich viele Berührpunkte.
Kontrolltipp: Setzt euren berechneten Schnittpunkt zur Probe in beide ursprünglichen Gleichungen ein!

Zugriff auf alle Dokumente
Verbessere deine Noten
Schließ dich Millionen Schülern an
Um eine Ebenengleichung zu erstellen, braucht ihr drei Punkte, die nicht auf einer Geraden liegen. Einen davon wählt ihr als Stützvektor, die anderen zwei ergeben die Spannvektoren.
Die Spannvektoren berechnet ihr als Vektoren vom Stützpunkt zu den beiden anderen Punkten. Wichtig: Sie dürfen nicht parallel sein (kein Vielfaches voneinander).
In Anwendungsaufgaben gebt ihr oft reale Situationen an - wie ein Tuch, das an drei Punkten befestigt ist. Die Mathematik bleibt dieselbe: Drei Punkte → eine Ebene.
Praxis-Check: Sind eure Spannvektoren parallel? Dann habt ihr nur drei Punkte auf einer Geraden erwischt!

Zugriff auf alle Dokumente
Verbessere deine Noten
Schließ dich Millionen Schülern an
Orthogonale Vektoren erkennt ihr am Skalarprodukt: . Das ist wichtig für rechte Winkel im Raum.
Der Betrag eines Vektors entspricht seiner Länge: . Das ist die 3D-Version des Satzes von Pythagoras.
Für Lagebeziehungen geht ihr immer systematisch vor: Erst parallel prüfen, dann identisch oder schneidend, zum Schluss orthogonal falls nötig.
Erfolgs-Strategie: Arbeitet immer schrittweise - erst die Richtungsvektoren analysieren, dann die konkreten Punkte einsetzen!
Unser KI-Begleiter ist ein speziell für Schüler entwickeltes KI-Tool, das mehr als nur Antworten bietet. Basierend auf Millionen von Knowunity-Inhalten liefert er relevante Informationen, personalisierte Lernpläne, Quizze und Inhalte direkt im Chat und passt sich deinem individuellen Lernweg an.
Du kannst die App im Google Play Store und im Apple App Store herunterladen.
Genau! Genieße kostenlosen Zugang zu Lerninhalten, vernetze dich mit anderen Schülern und hol dir sofortige Hilfe – alles direkt auf deinem Handy.
4
Smart Tools NEU
Verwandle diesen Lernzettel in: ✓ 50+ Übungsfragen ✓ Interaktive Karteikarten ✓ Komplette Probeklausur ✓ Aufsatzgliederungen
Entdecken Sie die Grundlagen der Vektoren, einschließlich ihrer Eigenschaften, der Komponentenform und der Anwendung im 3D-Koordinatensystem. Diese Zusammenfassung bietet einen klaren Überblick über orthogonale und kollineare Vektoren sowie deren Rechenregeln. Ideal für Studierende, die sich auf Prüfungen vorbereiten oder ihr Verständnis vertiefen möchten.
Entdecken Sie die Grundlagen der analytischen Geometrie und linearen Algebra. Diese Zusammenfassung behandelt wichtige Konzepte wie kollineare und komplanare Vektoren, den Gaußschen Algorithmus, die Berechnung von Abständen und Winkeln sowie die Eigenschaften von Geraden und Ebenen im dreidimensionalen Raum. Ideal für die Vorbereitung auf das Abitur in Hessen 2023.
Entdecken Sie die Grundlagen der Vektorenrechnung, einschließlich Vektorenaddition, orthogonalen Vektoren, und der Darstellung von Linien und Ebenen. Diese Zusammenfassung bietet eine klare Übersicht über wichtige Konzepte wie Kollinearität, Skalarprodukt und die Lagebeziehungen von Geraden im Raum. Ideal für Studierende, die sich auf Prüfungen vorbereiten oder ihr Verständnis der Vektoren vertiefen möchten.
Entdecken Sie die Grundlagen der Vektoren, einschließlich kollinearer Vektoren, orthogonaler Eigenschaften, und dem Skalarprodukt. Diese Zusammenfassung bietet wichtige Formeln und Konzepte für das Verständnis von Vektoren in der multivariaten Analysis. Ideal für Studierende, die sich auf Prüfungen vorbereiten oder ihr Wissen vertiefen möchten.
Entdecke die wesentlichen Konzepte der analytischen Geometrie, einschließlich Vektoren, Skalarprodukt, orthogonale Vektoren und die Berechnung von Abständen im dreidimensionalen Koordinatensystem. Dieser Lernzettel bietet eine klare Übersicht über die wichtigsten Themen und Techniken, die für das Verständnis der analytischen Geometrie erforderlich sind. Ideal für Schüler im Grundkurs Mathematik.
Erforschen Sie die Konzepte von Vektoren, Abständen zwischen Punkten, Linearkombinationen und Kollinearität. Diese Zusammenfassung bietet klare Erklärungen und Beispiele zur Berechnung von Vektorlängen, dem Mittelpunkt einer Strecke und den Bedingungen für Kollinearität. Ideal für Studierende der Multivariablen Analysis.
App Store
Google Play
Die App ist sehr einfach zu bedienen und gut gestaltet. Ich habe bisher alles gefunden, wonach ich gesucht habe, und konnte viel aus den Präsentationen lernen! Ich werde die App definitiv für ein Schulprojekt nutzen! Und natürlich hilft sie auch sehr als Inspiration.
Stefan S
iOS-Nutzer
Diese App ist wirklich super. Es gibt so viele Lernzettel und Hilfen [...]. Mein Problemfach ist zum Beispiel Französisch und die App hat so viele Möglichkeiten zur Hilfe. Dank dieser App habe ich mich in Französisch verbessert. Ich würde sie jedem empfehlen.
Samantha Klich
Android-Nutzerin
Wow, ich bin wirklich begeistert. Ich habe die App einfach mal ausprobiert, weil ich sie schon oft beworben gesehen habe und war absolut beeindruckt. Diese App ist DIE HILFE, die man für die Schule braucht und vor allem bietet sie so viele Dinge wie Übungen und Lernzettel, die mir persönlich SEHR geholfen haben.
Anna
iOS-Nutzerin
Beste App der Welt! Keine Worte, weil sie einfach zu gut ist
Thomas R
iOS-Nutzer
Einfach genial. Lässt mich 10x besser lernen, diese App ist eine glatte 10/10. Ich empfehle sie jedem. Ich kann Lernzettel anschauen und suchen. Ich kann sie im Fachordner speichern. Ich kann sie jederzeit wiederholen, wenn ich zurückkomme. Wenn du diese App noch nicht ausprobiert hast, verpasst du wirklich was.
Basil
Android-Nutzer
Diese App hat mich so viel selbstbewusster in meiner Klausurvorbereitung gemacht, nicht nur durch die Stärkung meines Selbstvertrauens durch die Features, die es dir ermöglichen, dich mit anderen zu vernetzen und dich weniger allein zu fühlen, sondern auch durch die Art, wie die App selbst darauf ausgerichtet ist, dass du dich besser fühlst. Sie ist einfach zu bedienen, macht Spaß und hilft jedem, der in irgendeiner Weise Schwierigkeiten hat.
David K
iOS-Nutzer
Die App ist einfach super! Ich muss nur das Thema in die Suche eingeben und bekomme sofort eine Antwort. Ich muss nicht mehr 10 YouTube-Videos schauen, um etwas zu verstehen, und spare dadurch richtig viel Zeit. Sehr empfehlenswert!
Sudenaz Ocak
Android-Nutzerin
In der Schule war ich echt schlecht in Mathe, aber dank der App bin ich jetzt besser geworden. Ich bin so dankbar, dass ihr die App gemacht habt.
Greenlight Bonnie
Android-Nutzerin
sehr zuverlässige App, um deine Ideen in Mathe, Englisch und anderen verwandten Themen zu verbessern. bitte nutze diese App, wenn du in bestimmten Bereichen Schwierigkeiten hast, diese App ist dafür der Schlüssel. wünschte, ich hätte früher eine Bewertung geschrieben. und sie ist auch kostenlos, also mach dir darüber keine Sorgen.
Rohan U
Android-Nutzer
Ich weiß, dass viele Apps gefälschte Accounts nutzen, um ihre Bewertungen zu pushen, aber diese App verdient das alles. Ursprünglich hatte ich eine 4 in meinen Englisch-Klausuren und dieses Mal habe ich eine 2 bekommen. Ich wusste erst drei Tage vor der Klausur von dieser App und sie hat mir SEHR geholfen. Bitte vertrau mir wirklich und nutze sie, denn ich bin sicher, dass auch du Fortschritte sehen wirst.
Xander S
iOS-Nutzer
DIE QUIZZE UND KARTEIKARTEN SIND SO NÜTZLICH UND ICH LIEBE Knowunity KI. ES IST AUCH BUCHSTÄBLICH WIE CHATGPT ABER SCHLAUER!! HAT MIR AUCH BEI MEINEN MASCARA-PROBLEMEN GEHOLFEN!! SOWIE BEI MEINEN ECHTEN FÄCHERN! NATÜRLICH 😍😁😲🤑💗✨🎀😮
Elisha
iOS-Nutzer
Diese App ist echt der Hammer. Ich finde Lernen so langweilig, aber diese App macht es so einfach, alles zu organisieren und dann kannst du die kostenlose KI bitten, dich abzufragen, so gut, und du kannst einfach deine eigenen Sachen hochladen. sehr empfehlenswert als jemand, der gerade Probeklausuren schreibt
Paul T
iOS-Nutzer
Die App ist sehr einfach zu bedienen und gut gestaltet. Ich habe bisher alles gefunden, wonach ich gesucht habe, und konnte viel aus den Präsentationen lernen! Ich werde die App definitiv für ein Schulprojekt nutzen! Und natürlich hilft sie auch sehr als Inspiration.
Stefan S
iOS-Nutzer
Diese App ist wirklich super. Es gibt so viele Lernzettel und Hilfen [...]. Mein Problemfach ist zum Beispiel Französisch und die App hat so viele Möglichkeiten zur Hilfe. Dank dieser App habe ich mich in Französisch verbessert. Ich würde sie jedem empfehlen.
Samantha Klich
Android-Nutzerin
Wow, ich bin wirklich begeistert. Ich habe die App einfach mal ausprobiert, weil ich sie schon oft beworben gesehen habe und war absolut beeindruckt. Diese App ist DIE HILFE, die man für die Schule braucht und vor allem bietet sie so viele Dinge wie Übungen und Lernzettel, die mir persönlich SEHR geholfen haben.
Anna
iOS-Nutzerin
Beste App der Welt! Keine Worte, weil sie einfach zu gut ist
Thomas R
iOS-Nutzer
Einfach genial. Lässt mich 10x besser lernen, diese App ist eine glatte 10/10. Ich empfehle sie jedem. Ich kann Lernzettel anschauen und suchen. Ich kann sie im Fachordner speichern. Ich kann sie jederzeit wiederholen, wenn ich zurückkomme. Wenn du diese App noch nicht ausprobiert hast, verpasst du wirklich was.
Basil
Android-Nutzer
Diese App hat mich so viel selbstbewusster in meiner Klausurvorbereitung gemacht, nicht nur durch die Stärkung meines Selbstvertrauens durch die Features, die es dir ermöglichen, dich mit anderen zu vernetzen und dich weniger allein zu fühlen, sondern auch durch die Art, wie die App selbst darauf ausgerichtet ist, dass du dich besser fühlst. Sie ist einfach zu bedienen, macht Spaß und hilft jedem, der in irgendeiner Weise Schwierigkeiten hat.
David K
iOS-Nutzer
Die App ist einfach super! Ich muss nur das Thema in die Suche eingeben und bekomme sofort eine Antwort. Ich muss nicht mehr 10 YouTube-Videos schauen, um etwas zu verstehen, und spare dadurch richtig viel Zeit. Sehr empfehlenswert!
Sudenaz Ocak
Android-Nutzerin
In der Schule war ich echt schlecht in Mathe, aber dank der App bin ich jetzt besser geworden. Ich bin so dankbar, dass ihr die App gemacht habt.
Greenlight Bonnie
Android-Nutzerin
sehr zuverlässige App, um deine Ideen in Mathe, Englisch und anderen verwandten Themen zu verbessern. bitte nutze diese App, wenn du in bestimmten Bereichen Schwierigkeiten hast, diese App ist dafür der Schlüssel. wünschte, ich hätte früher eine Bewertung geschrieben. und sie ist auch kostenlos, also mach dir darüber keine Sorgen.
Rohan U
Android-Nutzer
Ich weiß, dass viele Apps gefälschte Accounts nutzen, um ihre Bewertungen zu pushen, aber diese App verdient das alles. Ursprünglich hatte ich eine 4 in meinen Englisch-Klausuren und dieses Mal habe ich eine 2 bekommen. Ich wusste erst drei Tage vor der Klausur von dieser App und sie hat mir SEHR geholfen. Bitte vertrau mir wirklich und nutze sie, denn ich bin sicher, dass auch du Fortschritte sehen wirst.
Xander S
iOS-Nutzer
DIE QUIZZE UND KARTEIKARTEN SIND SO NÜTZLICH UND ICH LIEBE Knowunity KI. ES IST AUCH BUCHSTÄBLICH WIE CHATGPT ABER SCHLAUER!! HAT MIR AUCH BEI MEINEN MASCARA-PROBLEMEN GEHOLFEN!! SOWIE BEI MEINEN ECHTEN FÄCHERN! NATÜRLICH 😍😁😲🤑💗✨🎀😮
Elisha
iOS-Nutzer
Diese App ist echt der Hammer. Ich finde Lernen so langweilig, aber diese App macht es so einfach, alles zu organisieren und dann kannst du die kostenlose KI bitten, dich abzufragen, so gut, und du kannst einfach deine eigenen Sachen hochladen. sehr empfehlenswert als jemand, der gerade Probeklausuren schreibt
Paul T
iOS-Nutzer