Hier ist eine komplette Mathe-Klausur zur analytischen Geometrie mit allen... Mehr anzeigen
Melde dich an, um den Inhalt zu sehenKostenlos!
Zugriff auf alle Dokumente
Verbessere deine Noten
Schließ dich Millionen Schülern an
Knowunity KI
Fächer
Triangle Congruence and Similarity Theorems
Triangle Properties and Classification
Linear Equations and Graphs
Geometric Angle Relationships
Trigonometric Functions and Identities
Equation Solving Techniques
Circle Geometry Fundamentals
Division Operations and Methods
Basic Differentiation Rules
Exponent and Logarithm Properties
Alle Themen anzeigen
Human Organ Systems
Reproductive Cell Cycles
Biological Sciences Subdisciplines
Cellular Energy Metabolism
Autotrophic Energy Processes
Inheritance Patterns and Principles
Biomolecular Structure and Organization
Cell Cycle and Division Mechanics
Cellular Organization and Development
Biological Structural Organization
Alle Themen anzeigen
Chemical Sciences and Applications
Atomic Structure and Composition
Molecular Electron Structure Representation
Atomic Electron Behavior
Matter Properties and Water
Mole Concept and Calculations
Gas Laws and Behavior
Periodic Table Organization
Chemical Thermodynamics Fundamentals
Chemical Bond Types and Properties
Alle Themen anzeigen
European Renaissance and Enlightenment
European Cultural Movements 800-1920
American Revolution Era 1763-1797
American Civil War 1861-1865
Global Imperial Systems
Mongol and Chinese Dynasties
U.S. Presidents and World Leaders
Historical Sources and Documentation
World Wars Era and Impact
World Religious Systems
Alle Themen anzeigen
Classic and Contemporary Novels
Literary Character Analysis
Rhetorical Theory and Practice
Classic Literary Narratives
Reading Analysis and Interpretation
Narrative Structure and Techniques
English Language Components
Influential English-Language Authors
Basic Sentence Structure
Narrative Voice and Perspective
Alle Themen anzeigen
5,909
•
Aktualisiert Apr 26, 2026
•
Shirin
@shirin.a
Hier ist eine komplette Mathe-Klausur zur analytischen Geometrie mit allen... Mehr anzeigen











Quader-Koordinaten sind oft der Einstieg in 3D-Geometrie. Bei einem Quader mit gegebenen Punkten C(0|4|0), D(0|0|0) und F(6|4|2) findest du die fehlenden Koordinaten durch logisches Überlegen der Quader-Struktur.
Der Mittelpunkt zweier Punkte berechnet sich immer durch: M = . Für die Punkte C und F ergibt sich also M_CF(3|4|1).
Die Vektorlänge berechnest du mit der Formel |v⃗| = √. Der Vektor CF⃗ = (6|0|2) hat somit die Länge √40.
💡 Tipp: Bei Dreiecken prüfst du Rechtwinkligkeit mit dem Satz des Pythagoras: a² + b² = c² muss für mindestens eine Seitenkombination gelten.
Für Parallelogramme gilt: Gegenüberliegende Seiten sind parallel und gleich lang. Der Punkt K wird durch Vektoraddition gefunden.

Punktproben bei Geraden funktionieren so: Setze die Koordinaten in die Geradengleichung ein und löse nach dem Parameter auf. Wenn du einen eindeutigen Wert erhältst, liegt der Punkt auf der Gerade.
Eine Gerade durch den Ursprung erkennst du daran, dass der Stützvektor der Nullvektor ist. Die Gerade h: x⃗ = t·(0|2|-2) geht durch den Ursprung, weil kein zusätzlicher Verschiebungsvektor vorhanden ist.
Alternative Parametergleichungen einer Geraden erhältst du durch: anderen Stützvektor wählen (beliebiger Punkt der Geraden) oder Richtungsvektor mit Faktor multiplizieren.
💡 Merkhilfe: Jede Gerade hat unendlich viele Parameterdarstellungen - wichtig ist nur, dass Richtungsvektor und ein Punkt stimmen.

Die Koordinatenberechnung im Quader erfolgt systematisch: E(6|0|0), G(0|4|2), M_CF(3|4|1). Diese Punkte ergeben sich aus der Quadergeometrie und den gegebenen Eckpunkten.
Vektorbetrag von CF⃗: |CF⃗| = |(6|0|2)| = √(36 + 0 + 4) = √40. Die Betragsberechnung ist eine der häufigsten Grundaufgaben in der Vektorrechnung.
Beim Parallelogramm CIJK muss gelten: CI⃗ = KJ⃗. Daraus folgt K = J + CI⃗ = (-2|6|4) + (2|3|6) = (0|9|10).
💡 Kontrolltipp: Prüfe deine Parallelogramm-Lösung durch: CK⃗ sollte gleich IJ⃗ sein.

Seitenvektoren des Dreiecks CIJ berechnest du durch: CI⃗ = (2|3|6), CJ⃗ = (-2|2|4), IJ⃗ = (-4|-1|-2). Diese Vektoren verbinden jeweils die Eckpunkte miteinander.
Die Rechtwinkligkeitsprüfung erfolgt über den Satz des Pythagoras: |CI⃗|² + |CJ⃗|² = c². Mit den Beträgen √21, √49 und √24 zeigt sich: 21 + 24 ≠ 49, also ist das Dreieck nicht rechtwinklig.
Punktprobe für R(17|5|-11) auf Gerade g: Setze in die Parametergleichung ein und löse das Gleichungssystem. Da r = 3 für alle drei Koordinaten gilt, liegt R auf g.
💡 Wichtig: Bei der Punktprobe muss der Parameter r für alle drei Koordinatengleichungen denselben Wert haben.

Alternative Parameterdarstellungen erhältst du durch verschiedene Methoden: Verwende andere Punkte der Geraden als Stützvektor oder multipliziere den Richtungsvektor mit einem Faktor ungleich null.
Die Ursprungsgeradenerkennung bei h ist eindeutig: Da der Stützvektor fehlt , geht die Gerade durch den Koordinatenursprung (0|0|0).
Verschiedene Stützvektoren für dieselbe Gerade g findest du durch Einsetzen unterschiedlicher Parameter-Werte. Zum Beispiel ergibt r = -1 den Punkt (-3|-3|5).
💡 Merksatz: Eine Gerade hat unendlich viele Parameterdarstellungen, aber nur einen eindeutigen Richtungsvektor (bis auf skalare Vielfache).

Die vier möglichen Lagebeziehungen zweier Geraden im Raum sind: parallel, identisch, schneidend oder windschief. Diese Fälle musst du systematisch unterscheiden können.
Kollinearitätsprüfung der Richtungsvektoren: v⃗₁ = k·v⃗₂ bedeutet Parallelität oder Identität. Bei g und h: (-2|0|2) ≠ k·(-6|0|4,5), da die Faktoren nicht übereinstimmen.
Da die Richtungsvektoren nicht kollinear sind, können die Geraden nur schneidend oder windschief sein.
💡 Systematisches Vorgehen: 1. Richtungsvektoren prüfen → 2. Gleichungssystem aufstellen → 3. Lösbarkeit untersuchen.

Gleichungssystem für Schnittpunkt: g = h führt zu drei Gleichungen mit zwei Unbekannten (r und t). Löse systematisch nach beiden Parametern auf.
Die Parameterberechnung ergibt: t = 0,6 und r = 0,5. Setze beide Werte zur Kontrolle in alle drei ursprünglichen Gleichungen ein.
Schnittpunkt S(0|-2|4) erhältst du durch Einsetzen eines der Parameter in die entsprechende Geradengleichung.
💡 Kontrollrechnung: Der Schnittpunkt muss auf beiden Geraden liegen - prüfe das durch Einsetzen in beide Gleichungen.

Parallele Gerade j zu g erhältst du durch: gleicher Richtungsvektor, aber anderer Stützvektor. Beispiel: j: x⃗ = (0|0|0) + s·(-2|0|2).
Die Begründung erfolgt über die Parametergleichung: Stützvektor gibt einen beliebigen Punkt der Geraden an, Richtungsvektor bestimmt die Richtung.
Fachbegriffe: Stützvektor (Ortsvektor eines Geradenpunkts) und Richtungsvektor (gibt Richtung und Orientierung an) sind die beiden Bestandteile jeder Parametergleichung.
💡 Praktischer Tipp: Für parallele Geraden nimm einfach den Nullvektor oder einen anderen einfachen Vektor als neuen Stützvektor.

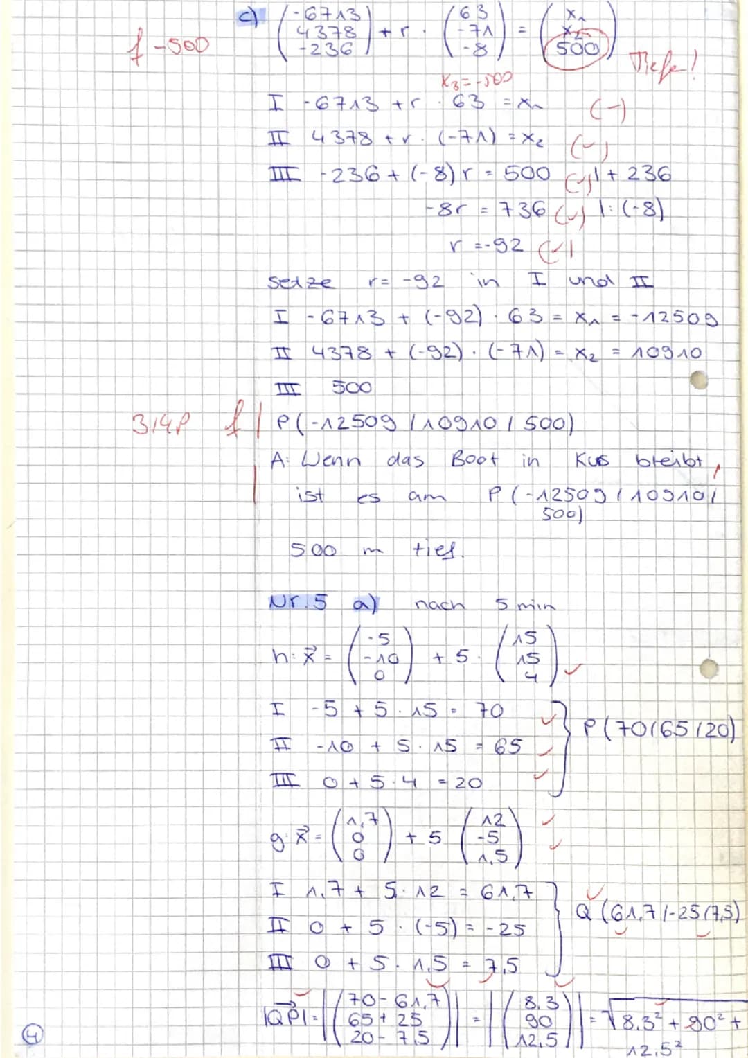
Bewegungsgleichung des Tauchboots: Die Parametergleichung x⃗ = A + r·u⃗ beschreibt die geradlinige Bewegung vom Startpunkt A in Richtung u⃗.
Für die Tiefenberechnung nach 5 Minuten setze r = 5 in die z-Koordinate ein: z = -236 + 5·(-8) = -276 m unter der Meeresoberfläche.
Den 500m-Tiefenpunkt findest du durch: -236 + r·(-8) = -500. Daraus folgt r = 33, was den Punkt P(-4404|2037|-500) ergibt.
💡 Realitätsbezug: Die X₁X₂-Ebene entspricht der Meeresoberfläche, negative z-Werte bedeuten Tiefe unter Wasser.

Systematisches Vorgehen bei Textaufgaben: 1. Koordinatensystem definieren, 2. Bewegungsgleichung aufstellen, 3. gesuchte Größe durch Parameterbestimmung finden.
Die Berechnung des 500m-Punkts erfolgt über die z-Koordinate: -236 + r·(-8) = -500 führt zu r = 33 und damit zum Punkt P(-4404|2037|-500).
Antwortsatz nicht vergessen: "Das Tauchboot erreicht die 500m-Tiefe am Punkt P(-4404|2037|-500)." Anwendungsaufgaben müssen immer mit vollständigen Antworten abgeschlossen werden.
💡 Prüfstrategie: Kontrolliere deine Ergebnisse durch Einsetzen der Parameter in die ursprüngliche Gleichung.
Unser KI-Begleiter ist ein speziell für Schüler entwickeltes KI-Tool, das mehr als nur Antworten bietet. Basierend auf Millionen von Knowunity-Inhalten liefert er relevante Informationen, personalisierte Lernpläne, Quizze und Inhalte direkt im Chat und passt sich deinem individuellen Lernweg an.
Du kannst die App im Google Play Store und im Apple App Store herunterladen.
Genau! Genieße kostenlosen Zugang zu Lerninhalten, vernetze dich mit anderen Schülern und hol dir sofortige Hilfe – alles direkt auf deinem Handy.
App Store
Google Play
Die App ist sehr einfach zu bedienen und gut gestaltet. Ich habe bisher alles gefunden, wonach ich gesucht habe, und konnte viel aus den Präsentationen lernen! Ich werde die App definitiv für ein Schulprojekt nutzen! Und natürlich hilft sie auch sehr als Inspiration.
Stefan S
iOS-Nutzer
Diese App ist wirklich super. Es gibt so viele Lernzettel und Hilfen [...]. Mein Problemfach ist zum Beispiel Französisch und die App hat so viele Möglichkeiten zur Hilfe. Dank dieser App habe ich mich in Französisch verbessert. Ich würde sie jedem empfehlen.
Samantha Klich
Android-Nutzerin
Wow, ich bin wirklich begeistert. Ich habe die App einfach mal ausprobiert, weil ich sie schon oft beworben gesehen habe und war absolut beeindruckt. Diese App ist DIE HILFE, die man für die Schule braucht und vor allem bietet sie so viele Dinge wie Übungen und Lernzettel, die mir persönlich SEHR geholfen haben.
Anna
iOS-Nutzerin
Beste App der Welt! Keine Worte, weil sie einfach zu gut ist
Thomas R
iOS-Nutzer
Einfach genial. Lässt mich 10x besser lernen, diese App ist eine glatte 10/10. Ich empfehle sie jedem. Ich kann Lernzettel anschauen und suchen. Ich kann sie im Fachordner speichern. Ich kann sie jederzeit wiederholen, wenn ich zurückkomme. Wenn du diese App noch nicht ausprobiert hast, verpasst du wirklich was.
Basil
Android-Nutzer
Diese App hat mich so viel selbstbewusster in meiner Klausurvorbereitung gemacht, nicht nur durch die Stärkung meines Selbstvertrauens durch die Features, die es dir ermöglichen, dich mit anderen zu vernetzen und dich weniger allein zu fühlen, sondern auch durch die Art, wie die App selbst darauf ausgerichtet ist, dass du dich besser fühlst. Sie ist einfach zu bedienen, macht Spaß und hilft jedem, der in irgendeiner Weise Schwierigkeiten hat.
David K
iOS-Nutzer
Die App ist einfach super! Ich muss nur das Thema in die Suche eingeben und bekomme sofort eine Antwort. Ich muss nicht mehr 10 YouTube-Videos schauen, um etwas zu verstehen, und spare dadurch richtig viel Zeit. Sehr empfehlenswert!
Sudenaz Ocak
Android-Nutzerin
In der Schule war ich echt schlecht in Mathe, aber dank der App bin ich jetzt besser geworden. Ich bin so dankbar, dass ihr die App gemacht habt.
Greenlight Bonnie
Android-Nutzerin
sehr zuverlässige App, um deine Ideen in Mathe, Englisch und anderen verwandten Themen zu verbessern. bitte nutze diese App, wenn du in bestimmten Bereichen Schwierigkeiten hast, diese App ist dafür der Schlüssel. wünschte, ich hätte früher eine Bewertung geschrieben. und sie ist auch kostenlos, also mach dir darüber keine Sorgen.
Rohan U
Android-Nutzer
Ich weiß, dass viele Apps gefälschte Accounts nutzen, um ihre Bewertungen zu pushen, aber diese App verdient das alles. Ursprünglich hatte ich eine 4 in meinen Englisch-Klausuren und dieses Mal habe ich eine 2 bekommen. Ich wusste erst drei Tage vor der Klausur von dieser App und sie hat mir SEHR geholfen. Bitte vertrau mir wirklich und nutze sie, denn ich bin sicher, dass auch du Fortschritte sehen wirst.
Xander S
iOS-Nutzer
DIE QUIZZE UND KARTEIKARTEN SIND SO NÜTZLICH UND ICH LIEBE Knowunity KI. ES IST AUCH BUCHSTÄBLICH WIE CHATGPT ABER SCHLAUER!! HAT MIR AUCH BEI MEINEN MASCARA-PROBLEMEN GEHOLFEN!! SOWIE BEI MEINEN ECHTEN FÄCHERN! NATÜRLICH 😍😁😲🤑💗✨🎀😮
Elisha
iOS-Nutzer
Diese App ist echt der Hammer. Ich finde Lernen so langweilig, aber diese App macht es so einfach, alles zu organisieren und dann kannst du die kostenlose KI bitten, dich abzufragen, so gut, und du kannst einfach deine eigenen Sachen hochladen. sehr empfehlenswert als jemand, der gerade Probeklausuren schreibt
Paul T
iOS-Nutzer
Die App ist sehr einfach zu bedienen und gut gestaltet. Ich habe bisher alles gefunden, wonach ich gesucht habe, und konnte viel aus den Präsentationen lernen! Ich werde die App definitiv für ein Schulprojekt nutzen! Und natürlich hilft sie auch sehr als Inspiration.
Stefan S
iOS-Nutzer
Diese App ist wirklich super. Es gibt so viele Lernzettel und Hilfen [...]. Mein Problemfach ist zum Beispiel Französisch und die App hat so viele Möglichkeiten zur Hilfe. Dank dieser App habe ich mich in Französisch verbessert. Ich würde sie jedem empfehlen.
Samantha Klich
Android-Nutzerin
Wow, ich bin wirklich begeistert. Ich habe die App einfach mal ausprobiert, weil ich sie schon oft beworben gesehen habe und war absolut beeindruckt. Diese App ist DIE HILFE, die man für die Schule braucht und vor allem bietet sie so viele Dinge wie Übungen und Lernzettel, die mir persönlich SEHR geholfen haben.
Anna
iOS-Nutzerin
Beste App der Welt! Keine Worte, weil sie einfach zu gut ist
Thomas R
iOS-Nutzer
Einfach genial. Lässt mich 10x besser lernen, diese App ist eine glatte 10/10. Ich empfehle sie jedem. Ich kann Lernzettel anschauen und suchen. Ich kann sie im Fachordner speichern. Ich kann sie jederzeit wiederholen, wenn ich zurückkomme. Wenn du diese App noch nicht ausprobiert hast, verpasst du wirklich was.
Basil
Android-Nutzer
Diese App hat mich so viel selbstbewusster in meiner Klausurvorbereitung gemacht, nicht nur durch die Stärkung meines Selbstvertrauens durch die Features, die es dir ermöglichen, dich mit anderen zu vernetzen und dich weniger allein zu fühlen, sondern auch durch die Art, wie die App selbst darauf ausgerichtet ist, dass du dich besser fühlst. Sie ist einfach zu bedienen, macht Spaß und hilft jedem, der in irgendeiner Weise Schwierigkeiten hat.
David K
iOS-Nutzer
Die App ist einfach super! Ich muss nur das Thema in die Suche eingeben und bekomme sofort eine Antwort. Ich muss nicht mehr 10 YouTube-Videos schauen, um etwas zu verstehen, und spare dadurch richtig viel Zeit. Sehr empfehlenswert!
Sudenaz Ocak
Android-Nutzerin
In der Schule war ich echt schlecht in Mathe, aber dank der App bin ich jetzt besser geworden. Ich bin so dankbar, dass ihr die App gemacht habt.
Greenlight Bonnie
Android-Nutzerin
sehr zuverlässige App, um deine Ideen in Mathe, Englisch und anderen verwandten Themen zu verbessern. bitte nutze diese App, wenn du in bestimmten Bereichen Schwierigkeiten hast, diese App ist dafür der Schlüssel. wünschte, ich hätte früher eine Bewertung geschrieben. und sie ist auch kostenlos, also mach dir darüber keine Sorgen.
Rohan U
Android-Nutzer
Ich weiß, dass viele Apps gefälschte Accounts nutzen, um ihre Bewertungen zu pushen, aber diese App verdient das alles. Ursprünglich hatte ich eine 4 in meinen Englisch-Klausuren und dieses Mal habe ich eine 2 bekommen. Ich wusste erst drei Tage vor der Klausur von dieser App und sie hat mir SEHR geholfen. Bitte vertrau mir wirklich und nutze sie, denn ich bin sicher, dass auch du Fortschritte sehen wirst.
Xander S
iOS-Nutzer
DIE QUIZZE UND KARTEIKARTEN SIND SO NÜTZLICH UND ICH LIEBE Knowunity KI. ES IST AUCH BUCHSTÄBLICH WIE CHATGPT ABER SCHLAUER!! HAT MIR AUCH BEI MEINEN MASCARA-PROBLEMEN GEHOLFEN!! SOWIE BEI MEINEN ECHTEN FÄCHERN! NATÜRLICH 😍😁😲🤑💗✨🎀😮
Elisha
iOS-Nutzer
Diese App ist echt der Hammer. Ich finde Lernen so langweilig, aber diese App macht es so einfach, alles zu organisieren und dann kannst du die kostenlose KI bitten, dich abzufragen, so gut, und du kannst einfach deine eigenen Sachen hochladen. sehr empfehlenswert als jemand, der gerade Probeklausuren schreibt
Paul T
iOS-Nutzer
Shirin
@shirin.a
Hier ist eine komplette Mathe-Klausur zur analytischen Geometrie mit allen wichtigen Themen: Vektoren, Geraden im Raum und praktische Anwendungen wie Tauchboot-Navigation. Die Aufgaben zeigen sowohl grundlegende Berechnungen als auch komplexere Lagebeziehungen zwischen Geraden.

Zugriff auf alle Dokumente
Verbessere deine Noten
Schließ dich Millionen Schülern an
Quader-Koordinaten sind oft der Einstieg in 3D-Geometrie. Bei einem Quader mit gegebenen Punkten C(0|4|0), D(0|0|0) und F(6|4|2) findest du die fehlenden Koordinaten durch logisches Überlegen der Quader-Struktur.
Der Mittelpunkt zweier Punkte berechnet sich immer durch: M = . Für die Punkte C und F ergibt sich also M_CF(3|4|1).
Die Vektorlänge berechnest du mit der Formel |v⃗| = √. Der Vektor CF⃗ = (6|0|2) hat somit die Länge √40.
💡 Tipp: Bei Dreiecken prüfst du Rechtwinkligkeit mit dem Satz des Pythagoras: a² + b² = c² muss für mindestens eine Seitenkombination gelten.
Für Parallelogramme gilt: Gegenüberliegende Seiten sind parallel und gleich lang. Der Punkt K wird durch Vektoraddition gefunden.

Zugriff auf alle Dokumente
Verbessere deine Noten
Schließ dich Millionen Schülern an
Punktproben bei Geraden funktionieren so: Setze die Koordinaten in die Geradengleichung ein und löse nach dem Parameter auf. Wenn du einen eindeutigen Wert erhältst, liegt der Punkt auf der Gerade.
Eine Gerade durch den Ursprung erkennst du daran, dass der Stützvektor der Nullvektor ist. Die Gerade h: x⃗ = t·(0|2|-2) geht durch den Ursprung, weil kein zusätzlicher Verschiebungsvektor vorhanden ist.
Alternative Parametergleichungen einer Geraden erhältst du durch: anderen Stützvektor wählen (beliebiger Punkt der Geraden) oder Richtungsvektor mit Faktor multiplizieren.
💡 Merkhilfe: Jede Gerade hat unendlich viele Parameterdarstellungen - wichtig ist nur, dass Richtungsvektor und ein Punkt stimmen.

Zugriff auf alle Dokumente
Verbessere deine Noten
Schließ dich Millionen Schülern an
Die Koordinatenberechnung im Quader erfolgt systematisch: E(6|0|0), G(0|4|2), M_CF(3|4|1). Diese Punkte ergeben sich aus der Quadergeometrie und den gegebenen Eckpunkten.
Vektorbetrag von CF⃗: |CF⃗| = |(6|0|2)| = √(36 + 0 + 4) = √40. Die Betragsberechnung ist eine der häufigsten Grundaufgaben in der Vektorrechnung.
Beim Parallelogramm CIJK muss gelten: CI⃗ = KJ⃗. Daraus folgt K = J + CI⃗ = (-2|6|4) + (2|3|6) = (0|9|10).
💡 Kontrolltipp: Prüfe deine Parallelogramm-Lösung durch: CK⃗ sollte gleich IJ⃗ sein.

Zugriff auf alle Dokumente
Verbessere deine Noten
Schließ dich Millionen Schülern an
Seitenvektoren des Dreiecks CIJ berechnest du durch: CI⃗ = (2|3|6), CJ⃗ = (-2|2|4), IJ⃗ = (-4|-1|-2). Diese Vektoren verbinden jeweils die Eckpunkte miteinander.
Die Rechtwinkligkeitsprüfung erfolgt über den Satz des Pythagoras: |CI⃗|² + |CJ⃗|² = c². Mit den Beträgen √21, √49 und √24 zeigt sich: 21 + 24 ≠ 49, also ist das Dreieck nicht rechtwinklig.
Punktprobe für R(17|5|-11) auf Gerade g: Setze in die Parametergleichung ein und löse das Gleichungssystem. Da r = 3 für alle drei Koordinaten gilt, liegt R auf g.
💡 Wichtig: Bei der Punktprobe muss der Parameter r für alle drei Koordinatengleichungen denselben Wert haben.

Zugriff auf alle Dokumente
Verbessere deine Noten
Schließ dich Millionen Schülern an
Alternative Parameterdarstellungen erhältst du durch verschiedene Methoden: Verwende andere Punkte der Geraden als Stützvektor oder multipliziere den Richtungsvektor mit einem Faktor ungleich null.
Die Ursprungsgeradenerkennung bei h ist eindeutig: Da der Stützvektor fehlt , geht die Gerade durch den Koordinatenursprung (0|0|0).
Verschiedene Stützvektoren für dieselbe Gerade g findest du durch Einsetzen unterschiedlicher Parameter-Werte. Zum Beispiel ergibt r = -1 den Punkt (-3|-3|5).
💡 Merksatz: Eine Gerade hat unendlich viele Parameterdarstellungen, aber nur einen eindeutigen Richtungsvektor (bis auf skalare Vielfache).

Zugriff auf alle Dokumente
Verbessere deine Noten
Schließ dich Millionen Schülern an
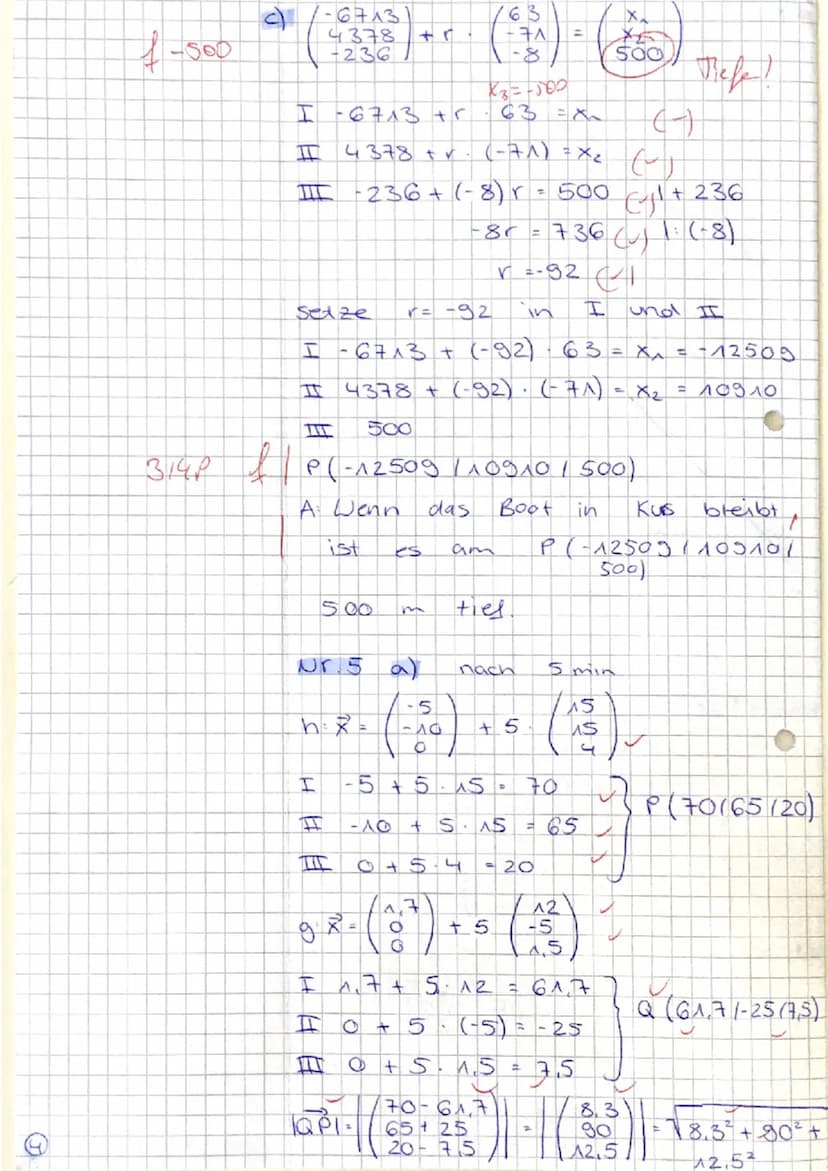
Die vier möglichen Lagebeziehungen zweier Geraden im Raum sind: parallel, identisch, schneidend oder windschief. Diese Fälle musst du systematisch unterscheiden können.
Kollinearitätsprüfung der Richtungsvektoren: v⃗₁ = k·v⃗₂ bedeutet Parallelität oder Identität. Bei g und h: (-2|0|2) ≠ k·(-6|0|4,5), da die Faktoren nicht übereinstimmen.
Da die Richtungsvektoren nicht kollinear sind, können die Geraden nur schneidend oder windschief sein.
💡 Systematisches Vorgehen: 1. Richtungsvektoren prüfen → 2. Gleichungssystem aufstellen → 3. Lösbarkeit untersuchen.

Zugriff auf alle Dokumente
Verbessere deine Noten
Schließ dich Millionen Schülern an
Gleichungssystem für Schnittpunkt: g = h führt zu drei Gleichungen mit zwei Unbekannten (r und t). Löse systematisch nach beiden Parametern auf.
Die Parameterberechnung ergibt: t = 0,6 und r = 0,5. Setze beide Werte zur Kontrolle in alle drei ursprünglichen Gleichungen ein.
Schnittpunkt S(0|-2|4) erhältst du durch Einsetzen eines der Parameter in die entsprechende Geradengleichung.
💡 Kontrollrechnung: Der Schnittpunkt muss auf beiden Geraden liegen - prüfe das durch Einsetzen in beide Gleichungen.

Zugriff auf alle Dokumente
Verbessere deine Noten
Schließ dich Millionen Schülern an
Parallele Gerade j zu g erhältst du durch: gleicher Richtungsvektor, aber anderer Stützvektor. Beispiel: j: x⃗ = (0|0|0) + s·(-2|0|2).
Die Begründung erfolgt über die Parametergleichung: Stützvektor gibt einen beliebigen Punkt der Geraden an, Richtungsvektor bestimmt die Richtung.
Fachbegriffe: Stützvektor (Ortsvektor eines Geradenpunkts) und Richtungsvektor (gibt Richtung und Orientierung an) sind die beiden Bestandteile jeder Parametergleichung.
💡 Praktischer Tipp: Für parallele Geraden nimm einfach den Nullvektor oder einen anderen einfachen Vektor als neuen Stützvektor.

Zugriff auf alle Dokumente
Verbessere deine Noten
Schließ dich Millionen Schülern an
Bewegungsgleichung des Tauchboots: Die Parametergleichung x⃗ = A + r·u⃗ beschreibt die geradlinige Bewegung vom Startpunkt A in Richtung u⃗.
Für die Tiefenberechnung nach 5 Minuten setze r = 5 in die z-Koordinate ein: z = -236 + 5·(-8) = -276 m unter der Meeresoberfläche.
Den 500m-Tiefenpunkt findest du durch: -236 + r·(-8) = -500. Daraus folgt r = 33, was den Punkt P(-4404|2037|-500) ergibt.
💡 Realitätsbezug: Die X₁X₂-Ebene entspricht der Meeresoberfläche, negative z-Werte bedeuten Tiefe unter Wasser.

Zugriff auf alle Dokumente
Verbessere deine Noten
Schließ dich Millionen Schülern an
Systematisches Vorgehen bei Textaufgaben: 1. Koordinatensystem definieren, 2. Bewegungsgleichung aufstellen, 3. gesuchte Größe durch Parameterbestimmung finden.
Die Berechnung des 500m-Punkts erfolgt über die z-Koordinate: -236 + r·(-8) = -500 führt zu r = 33 und damit zum Punkt P(-4404|2037|-500).
Antwortsatz nicht vergessen: "Das Tauchboot erreicht die 500m-Tiefe am Punkt P(-4404|2037|-500)." Anwendungsaufgaben müssen immer mit vollständigen Antworten abgeschlossen werden.
💡 Prüfstrategie: Kontrolliere deine Ergebnisse durch Einsetzen der Parameter in die ursprüngliche Gleichung.
Unser KI-Begleiter ist ein speziell für Schüler entwickeltes KI-Tool, das mehr als nur Antworten bietet. Basierend auf Millionen von Knowunity-Inhalten liefert er relevante Informationen, personalisierte Lernpläne, Quizze und Inhalte direkt im Chat und passt sich deinem individuellen Lernweg an.
Du kannst die App im Google Play Store und im Apple App Store herunterladen.
Genau! Genieße kostenlosen Zugang zu Lerninhalten, vernetze dich mit anderen Schülern und hol dir sofortige Hilfe – alles direkt auf deinem Handy.
184
Smart Tools NEU
Verwandle diesen Lernzettel in: ✓ 50+ Übungsfragen ✓ Interaktive Karteikarten ✓ Komplette Probeklausur ✓ Aufsatzgliederungen
Dieser Lernzettel behandelt die Grundlagen der analytischen Geometrie, einschließlich Koordinatensysteme, Vektoren, deren Addition und Subtraktion, sowie das Skalar- und Kreuzprodukt. Er bietet eine umfassende Übersicht über die Parameterdarstellung von Geraden und Ebenen sowie die Lagebeziehungen zwischen ihnen. Ideal für Studierende, die sich auf Prüfungen vorbereiten oder ihr Verständnis der analytischen Geometrie vertiefen möchten.
Entdecken Sie die Grundlagen der Vektoren, einschließlich linearer Abhängigkeit, Kollinearität, Vektoroperationen und der Berechnung von Abständen im Raum. Diese Zusammenfassung bietet eine klare Erklärung der Parameterform von Geraden, der Punktprobe und der Eigenschaften orthogonaler Linien. Ideal für Studierende, die sich auf Prüfungen vorbereiten oder ihr Wissen über Vektoren vertiefen möchten.
Diese Präsentation bietet eine umfassende Übersicht über Vektoren, Geraden und Ebenen auf Grundkursniveau. Sie behandelt wichtige Konzepte wie Skalarprodukt, Orthogonalität, Kollinearität, Geradengleichungen und Ebenengleichungen. Ideal für das Verständnis von räumlichen Beziehungen und geometrischen Eigenschaften. Enthält Merksätze, Regeln und Definitionen zur Unterstützung des Lernprozesses.
Erfahren Sie, wie Sie die Kollinearität von Vektoren überprüfen können. Diese Zusammenfassung behandelt die Definition kollinearer Vektoren, Prüfmethoden und bietet zahlreiche Beispiele zur Veranschaulichung. Ideal für Studierende der Mathematik und Physik.
Entdecken Sie die Grundlagen der analytischen Geometrie und linearen Algebra. Diese Zusammenfassung behandelt wichtige Konzepte wie kollineare und komplanare Vektoren, den Gaußschen Algorithmus, die Berechnung von Abständen und Winkeln sowie die Eigenschaften von Geraden und Ebenen im dreidimensionalen Raum. Ideal für die Vorbereitung auf das Abitur in Hessen 2023.
Erfahre alles über orthogonale Vektoren, das Skalarprodukt und deren Eigenschaften. Diese Zusammenfassung behandelt die Definition von Orthogonalität, die Berechnung des Skalarprodukts und Beispiele zur Überprüfung der Orthogonalität von Vektoren. Ideal für Studierende der Mathematik und Physik.
App Store
Google Play
Die App ist sehr einfach zu bedienen und gut gestaltet. Ich habe bisher alles gefunden, wonach ich gesucht habe, und konnte viel aus den Präsentationen lernen! Ich werde die App definitiv für ein Schulprojekt nutzen! Und natürlich hilft sie auch sehr als Inspiration.
Stefan S
iOS-Nutzer
Diese App ist wirklich super. Es gibt so viele Lernzettel und Hilfen [...]. Mein Problemfach ist zum Beispiel Französisch und die App hat so viele Möglichkeiten zur Hilfe. Dank dieser App habe ich mich in Französisch verbessert. Ich würde sie jedem empfehlen.
Samantha Klich
Android-Nutzerin
Wow, ich bin wirklich begeistert. Ich habe die App einfach mal ausprobiert, weil ich sie schon oft beworben gesehen habe und war absolut beeindruckt. Diese App ist DIE HILFE, die man für die Schule braucht und vor allem bietet sie so viele Dinge wie Übungen und Lernzettel, die mir persönlich SEHR geholfen haben.
Anna
iOS-Nutzerin
Beste App der Welt! Keine Worte, weil sie einfach zu gut ist
Thomas R
iOS-Nutzer
Einfach genial. Lässt mich 10x besser lernen, diese App ist eine glatte 10/10. Ich empfehle sie jedem. Ich kann Lernzettel anschauen und suchen. Ich kann sie im Fachordner speichern. Ich kann sie jederzeit wiederholen, wenn ich zurückkomme. Wenn du diese App noch nicht ausprobiert hast, verpasst du wirklich was.
Basil
Android-Nutzer
Diese App hat mich so viel selbstbewusster in meiner Klausurvorbereitung gemacht, nicht nur durch die Stärkung meines Selbstvertrauens durch die Features, die es dir ermöglichen, dich mit anderen zu vernetzen und dich weniger allein zu fühlen, sondern auch durch die Art, wie die App selbst darauf ausgerichtet ist, dass du dich besser fühlst. Sie ist einfach zu bedienen, macht Spaß und hilft jedem, der in irgendeiner Weise Schwierigkeiten hat.
David K
iOS-Nutzer
Die App ist einfach super! Ich muss nur das Thema in die Suche eingeben und bekomme sofort eine Antwort. Ich muss nicht mehr 10 YouTube-Videos schauen, um etwas zu verstehen, und spare dadurch richtig viel Zeit. Sehr empfehlenswert!
Sudenaz Ocak
Android-Nutzerin
In der Schule war ich echt schlecht in Mathe, aber dank der App bin ich jetzt besser geworden. Ich bin so dankbar, dass ihr die App gemacht habt.
Greenlight Bonnie
Android-Nutzerin
sehr zuverlässige App, um deine Ideen in Mathe, Englisch und anderen verwandten Themen zu verbessern. bitte nutze diese App, wenn du in bestimmten Bereichen Schwierigkeiten hast, diese App ist dafür der Schlüssel. wünschte, ich hätte früher eine Bewertung geschrieben. und sie ist auch kostenlos, also mach dir darüber keine Sorgen.
Rohan U
Android-Nutzer
Ich weiß, dass viele Apps gefälschte Accounts nutzen, um ihre Bewertungen zu pushen, aber diese App verdient das alles. Ursprünglich hatte ich eine 4 in meinen Englisch-Klausuren und dieses Mal habe ich eine 2 bekommen. Ich wusste erst drei Tage vor der Klausur von dieser App und sie hat mir SEHR geholfen. Bitte vertrau mir wirklich und nutze sie, denn ich bin sicher, dass auch du Fortschritte sehen wirst.
Xander S
iOS-Nutzer
DIE QUIZZE UND KARTEIKARTEN SIND SO NÜTZLICH UND ICH LIEBE Knowunity KI. ES IST AUCH BUCHSTÄBLICH WIE CHATGPT ABER SCHLAUER!! HAT MIR AUCH BEI MEINEN MASCARA-PROBLEMEN GEHOLFEN!! SOWIE BEI MEINEN ECHTEN FÄCHERN! NATÜRLICH 😍😁😲🤑💗✨🎀😮
Elisha
iOS-Nutzer
Diese App ist echt der Hammer. Ich finde Lernen so langweilig, aber diese App macht es so einfach, alles zu organisieren und dann kannst du die kostenlose KI bitten, dich abzufragen, so gut, und du kannst einfach deine eigenen Sachen hochladen. sehr empfehlenswert als jemand, der gerade Probeklausuren schreibt
Paul T
iOS-Nutzer
Die App ist sehr einfach zu bedienen und gut gestaltet. Ich habe bisher alles gefunden, wonach ich gesucht habe, und konnte viel aus den Präsentationen lernen! Ich werde die App definitiv für ein Schulprojekt nutzen! Und natürlich hilft sie auch sehr als Inspiration.
Stefan S
iOS-Nutzer
Diese App ist wirklich super. Es gibt so viele Lernzettel und Hilfen [...]. Mein Problemfach ist zum Beispiel Französisch und die App hat so viele Möglichkeiten zur Hilfe. Dank dieser App habe ich mich in Französisch verbessert. Ich würde sie jedem empfehlen.
Samantha Klich
Android-Nutzerin
Wow, ich bin wirklich begeistert. Ich habe die App einfach mal ausprobiert, weil ich sie schon oft beworben gesehen habe und war absolut beeindruckt. Diese App ist DIE HILFE, die man für die Schule braucht und vor allem bietet sie so viele Dinge wie Übungen und Lernzettel, die mir persönlich SEHR geholfen haben.
Anna
iOS-Nutzerin
Beste App der Welt! Keine Worte, weil sie einfach zu gut ist
Thomas R
iOS-Nutzer
Einfach genial. Lässt mich 10x besser lernen, diese App ist eine glatte 10/10. Ich empfehle sie jedem. Ich kann Lernzettel anschauen und suchen. Ich kann sie im Fachordner speichern. Ich kann sie jederzeit wiederholen, wenn ich zurückkomme. Wenn du diese App noch nicht ausprobiert hast, verpasst du wirklich was.
Basil
Android-Nutzer
Diese App hat mich so viel selbstbewusster in meiner Klausurvorbereitung gemacht, nicht nur durch die Stärkung meines Selbstvertrauens durch die Features, die es dir ermöglichen, dich mit anderen zu vernetzen und dich weniger allein zu fühlen, sondern auch durch die Art, wie die App selbst darauf ausgerichtet ist, dass du dich besser fühlst. Sie ist einfach zu bedienen, macht Spaß und hilft jedem, der in irgendeiner Weise Schwierigkeiten hat.
David K
iOS-Nutzer
Die App ist einfach super! Ich muss nur das Thema in die Suche eingeben und bekomme sofort eine Antwort. Ich muss nicht mehr 10 YouTube-Videos schauen, um etwas zu verstehen, und spare dadurch richtig viel Zeit. Sehr empfehlenswert!
Sudenaz Ocak
Android-Nutzerin
In der Schule war ich echt schlecht in Mathe, aber dank der App bin ich jetzt besser geworden. Ich bin so dankbar, dass ihr die App gemacht habt.
Greenlight Bonnie
Android-Nutzerin
sehr zuverlässige App, um deine Ideen in Mathe, Englisch und anderen verwandten Themen zu verbessern. bitte nutze diese App, wenn du in bestimmten Bereichen Schwierigkeiten hast, diese App ist dafür der Schlüssel. wünschte, ich hätte früher eine Bewertung geschrieben. und sie ist auch kostenlos, also mach dir darüber keine Sorgen.
Rohan U
Android-Nutzer
Ich weiß, dass viele Apps gefälschte Accounts nutzen, um ihre Bewertungen zu pushen, aber diese App verdient das alles. Ursprünglich hatte ich eine 4 in meinen Englisch-Klausuren und dieses Mal habe ich eine 2 bekommen. Ich wusste erst drei Tage vor der Klausur von dieser App und sie hat mir SEHR geholfen. Bitte vertrau mir wirklich und nutze sie, denn ich bin sicher, dass auch du Fortschritte sehen wirst.
Xander S
iOS-Nutzer
DIE QUIZZE UND KARTEIKARTEN SIND SO NÜTZLICH UND ICH LIEBE Knowunity KI. ES IST AUCH BUCHSTÄBLICH WIE CHATGPT ABER SCHLAUER!! HAT MIR AUCH BEI MEINEN MASCARA-PROBLEMEN GEHOLFEN!! SOWIE BEI MEINEN ECHTEN FÄCHERN! NATÜRLICH 😍😁😲🤑💗✨🎀😮
Elisha
iOS-Nutzer
Diese App ist echt der Hammer. Ich finde Lernen so langweilig, aber diese App macht es so einfach, alles zu organisieren und dann kannst du die kostenlose KI bitten, dich abzufragen, so gut, und du kannst einfach deine eigenen Sachen hochladen. sehr empfehlenswert als jemand, der gerade Probeklausuren schreibt
Paul T
iOS-Nutzer