Deine Wahrnehmung ist wie ein persönlicher Filter, durch den du... Mehr anzeigen
Melde dich an, um den Inhalt zu sehenKostenlos!
Zugriff auf alle Dokumente
Verbessere deine Noten
Schließ dich Millionen Schülern an
Knowunity KI
Fächer
Triangle Congruence and Similarity Theorems
Triangle Properties and Classification
Linear Equations and Graphs
Geometric Angle Relationships
Trigonometric Functions and Identities
Equation Solving Techniques
Circle Geometry Fundamentals
Division Operations and Methods
Basic Differentiation Rules
Exponent and Logarithm Properties
Alle Themen anzeigen
Human Organ Systems
Reproductive Cell Cycles
Biological Sciences Subdisciplines
Cellular Energy Metabolism
Autotrophic Energy Processes
Inheritance Patterns and Principles
Biomolecular Structure and Organization
Cell Cycle and Division Mechanics
Cellular Organization and Development
Biological Structural Organization
Alle Themen anzeigen
Chemical Sciences and Applications
Atomic Structure and Composition
Molecular Electron Structure Representation
Atomic Electron Behavior
Matter Properties and Water
Mole Concept and Calculations
Gas Laws and Behavior
Periodic Table Organization
Chemical Thermodynamics Fundamentals
Chemical Bond Types and Properties
Alle Themen anzeigen
European Renaissance and Enlightenment
European Cultural Movements 800-1920
American Revolution Era 1763-1797
American Civil War 1861-1865
Global Imperial Systems
Mongol and Chinese Dynasties
U.S. Presidents and World Leaders
Historical Sources and Documentation
World Wars Era and Impact
World Religious Systems
Alle Themen anzeigen
Classic and Contemporary Novels
Literary Character Analysis
Rhetorical Theory and Practice
Classic Literary Narratives
Reading Analysis and Interpretation
Narrative Structure and Techniques
English Language Components
Influential English-Language Authors
Basic Sentence Structure
Narrative Voice and Perspective
Alle Themen anzeigen
1,397
•
Aktualisiert Mar 17, 2026
•
Sina
@sinamariebauer_rssp
Deine Wahrnehmung ist wie ein persönlicher Filter, durch den du... Mehr anzeigen






Kognitionen sind alle geistigen Prozesse, die dafür sorgen, dass du Informationen aufnimmst, verarbeitest und wieder abrufen kannst. Dazu gehören drei wichtige Bereiche: psychische Kräfte (wie Gefühle und Bedürfnisse), psychische Fähigkeiten (wie Intelligenz und Gedächtnis) und psychische Funktionen (wie Denken und Wahrnehmung).
Wahrnehmung ist der Prozess, bei dem du Reize aus deiner Umgebung und deinem Körper aufnimmst und verarbeitest. Deine fünf Sinne arbeiten dabei wie spezialisierte Detektive: Deine Augen fangen Lichtwellen ein, deine Ohren Schallwellen, deine Nase riecht Moleküle, deine Zunge schmeckt wasserlösliche Stoffe und deine Haut spürt Berührungen und Temperaturen.
Jeder Sinn hat seine eigenen Rezeptoren - das sind spezielle Zellen, die bestimmte Reize in elektrische Signale umwandeln. So entstehen aus physikalischen Reizen deine Empfindungen wie "rot", "laut" oder "süß".
💡 Wichtig zu wissen: Alle diese Prozesse laufen bei jedem Menschen nach dem gleichen Grundmuster ab, aber die individuellen Unterschiede machen deine Wahrnehmung einzigartig!

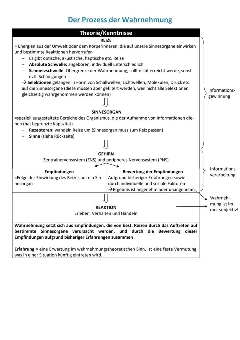
Stell dir vor, ein Reiz trifft auf deine Sinnesorgane - das können Lichtwellen, Schallwellen oder auch Moleküle sein. Aber nicht alle Reize schaffen es bis zu deinem Bewusstsein! Es gibt eine absolute Schwelle, unter der du nichts wahrnimmst, und eine Schmerzschwelle, die du besser nicht überschreitest.
Deine Sinnesorgane haben eine begrenzte Kapazität und müssen daher filtern - sonst wärst du völlig überwältigt. Die Rezeptoren wandeln nur die "wichtigsten" Reize um und leiten sie an dein Gehirn weiter.
Im Gehirn entstehen dann Empfindungen, die dein Nervensystem bewertet. Diese Bewertung basiert auf deinen bisherigen Erfahrungen und persönlichen Faktoren - deshalb findest du manche Dinge angenehm und andere nicht.
Das Endergebnis ist deine Reaktion: wie du erlebst, dich verhältst und handelst. Wahrnehmung ist also immer subjektiv - sie setzt sich aus deinen Empfindungen und deren Bewertung zusammen!
💡 Merke dir: Deine Erfahrungen sind wie Erwartungen - sie beeinflussen, was du in ähnlichen Situationen künftig wahrnehmen wirst.

Der Psychologe Zimbardo hat ein simples Drei-Stufen-Modell entwickelt, das zeigt, wie Wahrnehmung abläuft. In Stufe 1 nehmen deine Sinnesorgane und Rezeptoren einen Reiz auf und leiten ihn als elektrische Information an dein Gehirn weiter - das löst Empfindungen aus.
Stufe 2 ist besonders spannend: Hier fügt dein Gehirn die neuen Sinnesdaten mit dem zusammen, was bereits in deinem Gedächtnis gespeichert ist. Wie gut das klappt, hängt von deiner Aufmerksamkeit ab - schließlich prasseln ständig unzählige Reize auf dich ein, und du musst die interessanten und wichtigen auswählen.
In Stufe 3 passiert das Erkennen: Den wahrgenommenen Reizen wird eine bestimmte Bedeutung zugewiesen, sie werden identifiziert und wiedererkannt. Jetzt weißt du nicht nur "da ist etwas Rundes und Rotes", sondern "das ist ein Apfel"!
💡 Praxistipp: Wenn du dich auf etwas konzentrierst (Stufe 2), nimmst du automatisch mehr Details wahr und erkennst Dinge schneller wieder.

Dein Gehirn ist ein Meister darin, aus vielen einzelnen Reizen ein zusammenhängendes Bild zu basteln. Perzeptuelle Wahrnehmung bedeutet, dass du nicht einzelne Punkte, Linien oder Töne wahrnimmst, sondern komplette Objekte und Muster erkennst.
Gestaltgesetze sind die Regeln, nach denen dein Gehirn diese Ordnung schafft. Das wichtigste ist das Figur-Grund-Prinzip: Du hebst automatisch bestimmte Objekte von ihrer Umgebung ab - wie eine Stimme aus dem Orchesterklang oder Blumen vom grünen Rasen.
Weitere wichtige Gesetze sind: Ähnlichkeit (ähnliche Dinge gehören zusammen), Nähe (was nah beieinander ist, gehört zusammen), Kontinuität (du siehst Fortsetzungen und Muster) und Geschlossenheit (unvollständige Dinge werden automatisch vervollständigt).
Das Gesetz der Prägnanz sorgt dafür, dass dein Gehirn immer die einfachste und stabilste Lösung wählt. Deshalb siehst du in Punktlinien automatisch eine gerade Linie zum Schreiben!
💡 Alltagsbeispiel: Wenn du zwei Leute mit ähnlicher Kleidung siehst, nimmst du sie automatisch als Paar oder Gruppe wahr - das ist das Gesetz der Ähnlichkeit in Aktion!

Deine Wahrnehmung ist kein einfacher Reiz-Reaktions-Vorgang - eine Menge Faktoren beeinflussen, was und wie du etwas wahrnimmst. Biologische Faktoren wie die Beschaffenheit deiner Sinnesorgane, die Stärke der Reize und deine begrenzte Aufnahmekapazität spielen eine Rolle.
Noch wichtiger sind individuelle Faktoren: Deine Erfahrungen, Persönlichkeitsmerkmale, aktuellen Emotionen, Wertvorstellungen und Bedürfnisse färben deine Wahrnehmung ein. Wenn du hungrig bist, fallen dir Restaurants viel eher auf!
Soziale Faktoren wie deine Kultur, gesellschaftliche Normen und andere Menschen um dich herum beeinflussen ebenfalls, wie du die Welt siehst. Das erklärt, warum Menschen aus verschiedenen Kulturen manche Dinge völlig anders bewerten.
Der wichtigste Punkt: Du entwirfst dir deine eigene Welt! Realität ist, wie die Welt "an sich" ist, aber Wirklichkeit ist das, was du wahrnimmst. Deshalb gilt immer: Wahrnehmung ist subjektiv!
💡 Denk daran: Wenn du und deine Freunde eine Situation völlig unterschiedlich erlebt habt, liegt das nicht daran, dass jemand lügt - ihr habt einfach verschiedene "Wirklichkeiten" wahrgenommen!
Unser KI-Begleiter ist ein speziell für Schüler entwickeltes KI-Tool, das mehr als nur Antworten bietet. Basierend auf Millionen von Knowunity-Inhalten liefert er relevante Informationen, personalisierte Lernpläne, Quizze und Inhalte direkt im Chat und passt sich deinem individuellen Lernweg an.
Du kannst die App im Google Play Store und im Apple App Store herunterladen.
Genau! Genieße kostenlosen Zugang zu Lerninhalten, vernetze dich mit anderen Schülern und hol dir sofortige Hilfe – alles direkt auf deinem Handy.
App Store
Google Play
Die App ist sehr einfach zu bedienen und gut gestaltet. Ich habe bisher alles gefunden, wonach ich gesucht habe, und konnte viel aus den Präsentationen lernen! Ich werde die App definitiv für ein Schulprojekt nutzen! Und natürlich hilft sie auch sehr als Inspiration.
Stefan S
iOS-Nutzer
Diese App ist wirklich super. Es gibt so viele Lernzettel und Hilfen [...]. Mein Problemfach ist zum Beispiel Französisch und die App hat so viele Möglichkeiten zur Hilfe. Dank dieser App habe ich mich in Französisch verbessert. Ich würde sie jedem empfehlen.
Samantha Klich
Android-Nutzerin
Wow, ich bin wirklich begeistert. Ich habe die App einfach mal ausprobiert, weil ich sie schon oft beworben gesehen habe und war absolut beeindruckt. Diese App ist DIE HILFE, die man für die Schule braucht und vor allem bietet sie so viele Dinge wie Übungen und Lernzettel, die mir persönlich SEHR geholfen haben.
Anna
iOS-Nutzerin
Beste App der Welt! Keine Worte, weil sie einfach zu gut ist
Thomas R
iOS-Nutzer
Einfach genial. Lässt mich 10x besser lernen, diese App ist eine glatte 10/10. Ich empfehle sie jedem. Ich kann Lernzettel anschauen und suchen. Ich kann sie im Fachordner speichern. Ich kann sie jederzeit wiederholen, wenn ich zurückkomme. Wenn du diese App noch nicht ausprobiert hast, verpasst du wirklich was.
Basil
Android-Nutzer
Diese App hat mich so viel selbstbewusster in meiner Klausurvorbereitung gemacht, nicht nur durch die Stärkung meines Selbstvertrauens durch die Features, die es dir ermöglichen, dich mit anderen zu vernetzen und dich weniger allein zu fühlen, sondern auch durch die Art, wie die App selbst darauf ausgerichtet ist, dass du dich besser fühlst. Sie ist einfach zu bedienen, macht Spaß und hilft jedem, der in irgendeiner Weise Schwierigkeiten hat.
David K
iOS-Nutzer
Die App ist einfach super! Ich muss nur das Thema in die Suche eingeben und bekomme sofort eine Antwort. Ich muss nicht mehr 10 YouTube-Videos schauen, um etwas zu verstehen, und spare dadurch richtig viel Zeit. Sehr empfehlenswert!
Sudenaz Ocak
Android-Nutzerin
In der Schule war ich echt schlecht in Mathe, aber dank der App bin ich jetzt besser geworden. Ich bin so dankbar, dass ihr die App gemacht habt.
Greenlight Bonnie
Android-Nutzerin
sehr zuverlässige App, um deine Ideen in Mathe, Englisch und anderen verwandten Themen zu verbessern. bitte nutze diese App, wenn du in bestimmten Bereichen Schwierigkeiten hast, diese App ist dafür der Schlüssel. wünschte, ich hätte früher eine Bewertung geschrieben. und sie ist auch kostenlos, also mach dir darüber keine Sorgen.
Rohan U
Android-Nutzer
Ich weiß, dass viele Apps gefälschte Accounts nutzen, um ihre Bewertungen zu pushen, aber diese App verdient das alles. Ursprünglich hatte ich eine 4 in meinen Englisch-Klausuren und dieses Mal habe ich eine 2 bekommen. Ich wusste erst drei Tage vor der Klausur von dieser App und sie hat mir SEHR geholfen. Bitte vertrau mir wirklich und nutze sie, denn ich bin sicher, dass auch du Fortschritte sehen wirst.
Xander S
iOS-Nutzer
DIE QUIZZE UND KARTEIKARTEN SIND SO NÜTZLICH UND ICH LIEBE Knowunity KI. ES IST AUCH BUCHSTÄBLICH WIE CHATGPT ABER SCHLAUER!! HAT MIR AUCH BEI MEINEN MASCARA-PROBLEMEN GEHOLFEN!! SOWIE BEI MEINEN ECHTEN FÄCHERN! NATÜRLICH 😍😁😲🤑💗✨🎀😮
Elisha
iOS-Nutzer
Diese App ist echt der Hammer. Ich finde Lernen so langweilig, aber diese App macht es so einfach, alles zu organisieren und dann kannst du die kostenlose KI bitten, dich abzufragen, so gut, und du kannst einfach deine eigenen Sachen hochladen. sehr empfehlenswert als jemand, der gerade Probeklausuren schreibt
Paul T
iOS-Nutzer
Die App ist sehr einfach zu bedienen und gut gestaltet. Ich habe bisher alles gefunden, wonach ich gesucht habe, und konnte viel aus den Präsentationen lernen! Ich werde die App definitiv für ein Schulprojekt nutzen! Und natürlich hilft sie auch sehr als Inspiration.
Stefan S
iOS-Nutzer
Diese App ist wirklich super. Es gibt so viele Lernzettel und Hilfen [...]. Mein Problemfach ist zum Beispiel Französisch und die App hat so viele Möglichkeiten zur Hilfe. Dank dieser App habe ich mich in Französisch verbessert. Ich würde sie jedem empfehlen.
Samantha Klich
Android-Nutzerin
Wow, ich bin wirklich begeistert. Ich habe die App einfach mal ausprobiert, weil ich sie schon oft beworben gesehen habe und war absolut beeindruckt. Diese App ist DIE HILFE, die man für die Schule braucht und vor allem bietet sie so viele Dinge wie Übungen und Lernzettel, die mir persönlich SEHR geholfen haben.
Anna
iOS-Nutzerin
Beste App der Welt! Keine Worte, weil sie einfach zu gut ist
Thomas R
iOS-Nutzer
Einfach genial. Lässt mich 10x besser lernen, diese App ist eine glatte 10/10. Ich empfehle sie jedem. Ich kann Lernzettel anschauen und suchen. Ich kann sie im Fachordner speichern. Ich kann sie jederzeit wiederholen, wenn ich zurückkomme. Wenn du diese App noch nicht ausprobiert hast, verpasst du wirklich was.
Basil
Android-Nutzer
Diese App hat mich so viel selbstbewusster in meiner Klausurvorbereitung gemacht, nicht nur durch die Stärkung meines Selbstvertrauens durch die Features, die es dir ermöglichen, dich mit anderen zu vernetzen und dich weniger allein zu fühlen, sondern auch durch die Art, wie die App selbst darauf ausgerichtet ist, dass du dich besser fühlst. Sie ist einfach zu bedienen, macht Spaß und hilft jedem, der in irgendeiner Weise Schwierigkeiten hat.
David K
iOS-Nutzer
Die App ist einfach super! Ich muss nur das Thema in die Suche eingeben und bekomme sofort eine Antwort. Ich muss nicht mehr 10 YouTube-Videos schauen, um etwas zu verstehen, und spare dadurch richtig viel Zeit. Sehr empfehlenswert!
Sudenaz Ocak
Android-Nutzerin
In der Schule war ich echt schlecht in Mathe, aber dank der App bin ich jetzt besser geworden. Ich bin so dankbar, dass ihr die App gemacht habt.
Greenlight Bonnie
Android-Nutzerin
sehr zuverlässige App, um deine Ideen in Mathe, Englisch und anderen verwandten Themen zu verbessern. bitte nutze diese App, wenn du in bestimmten Bereichen Schwierigkeiten hast, diese App ist dafür der Schlüssel. wünschte, ich hätte früher eine Bewertung geschrieben. und sie ist auch kostenlos, also mach dir darüber keine Sorgen.
Rohan U
Android-Nutzer
Ich weiß, dass viele Apps gefälschte Accounts nutzen, um ihre Bewertungen zu pushen, aber diese App verdient das alles. Ursprünglich hatte ich eine 4 in meinen Englisch-Klausuren und dieses Mal habe ich eine 2 bekommen. Ich wusste erst drei Tage vor der Klausur von dieser App und sie hat mir SEHR geholfen. Bitte vertrau mir wirklich und nutze sie, denn ich bin sicher, dass auch du Fortschritte sehen wirst.
Xander S
iOS-Nutzer
DIE QUIZZE UND KARTEIKARTEN SIND SO NÜTZLICH UND ICH LIEBE Knowunity KI. ES IST AUCH BUCHSTÄBLICH WIE CHATGPT ABER SCHLAUER!! HAT MIR AUCH BEI MEINEN MASCARA-PROBLEMEN GEHOLFEN!! SOWIE BEI MEINEN ECHTEN FÄCHERN! NATÜRLICH 😍😁😲🤑💗✨🎀😮
Elisha
iOS-Nutzer
Diese App ist echt der Hammer. Ich finde Lernen so langweilig, aber diese App macht es so einfach, alles zu organisieren und dann kannst du die kostenlose KI bitten, dich abzufragen, so gut, und du kannst einfach deine eigenen Sachen hochladen. sehr empfehlenswert als jemand, der gerade Probeklausuren schreibt
Paul T
iOS-Nutzer
Sina
@sinamariebauer_rssp
Deine Wahrnehmung ist wie ein persönlicher Filter, durch den du die Welt siehst - und dieser Filter funktioniert bei jedem Menschen etwas anders! Hier erfährst du, wie dein Gehirn aus unzähligen Reizen um dich herum ein zusammenhängendes Bild der Realität... Mehr anzeigen

Zugriff auf alle Dokumente
Verbessere deine Noten
Schließ dich Millionen Schülern an
Kognitionen sind alle geistigen Prozesse, die dafür sorgen, dass du Informationen aufnimmst, verarbeitest und wieder abrufen kannst. Dazu gehören drei wichtige Bereiche: psychische Kräfte (wie Gefühle und Bedürfnisse), psychische Fähigkeiten (wie Intelligenz und Gedächtnis) und psychische Funktionen (wie Denken und Wahrnehmung).
Wahrnehmung ist der Prozess, bei dem du Reize aus deiner Umgebung und deinem Körper aufnimmst und verarbeitest. Deine fünf Sinne arbeiten dabei wie spezialisierte Detektive: Deine Augen fangen Lichtwellen ein, deine Ohren Schallwellen, deine Nase riecht Moleküle, deine Zunge schmeckt wasserlösliche Stoffe und deine Haut spürt Berührungen und Temperaturen.
Jeder Sinn hat seine eigenen Rezeptoren - das sind spezielle Zellen, die bestimmte Reize in elektrische Signale umwandeln. So entstehen aus physikalischen Reizen deine Empfindungen wie "rot", "laut" oder "süß".
💡 Wichtig zu wissen: Alle diese Prozesse laufen bei jedem Menschen nach dem gleichen Grundmuster ab, aber die individuellen Unterschiede machen deine Wahrnehmung einzigartig!

Zugriff auf alle Dokumente
Verbessere deine Noten
Schließ dich Millionen Schülern an
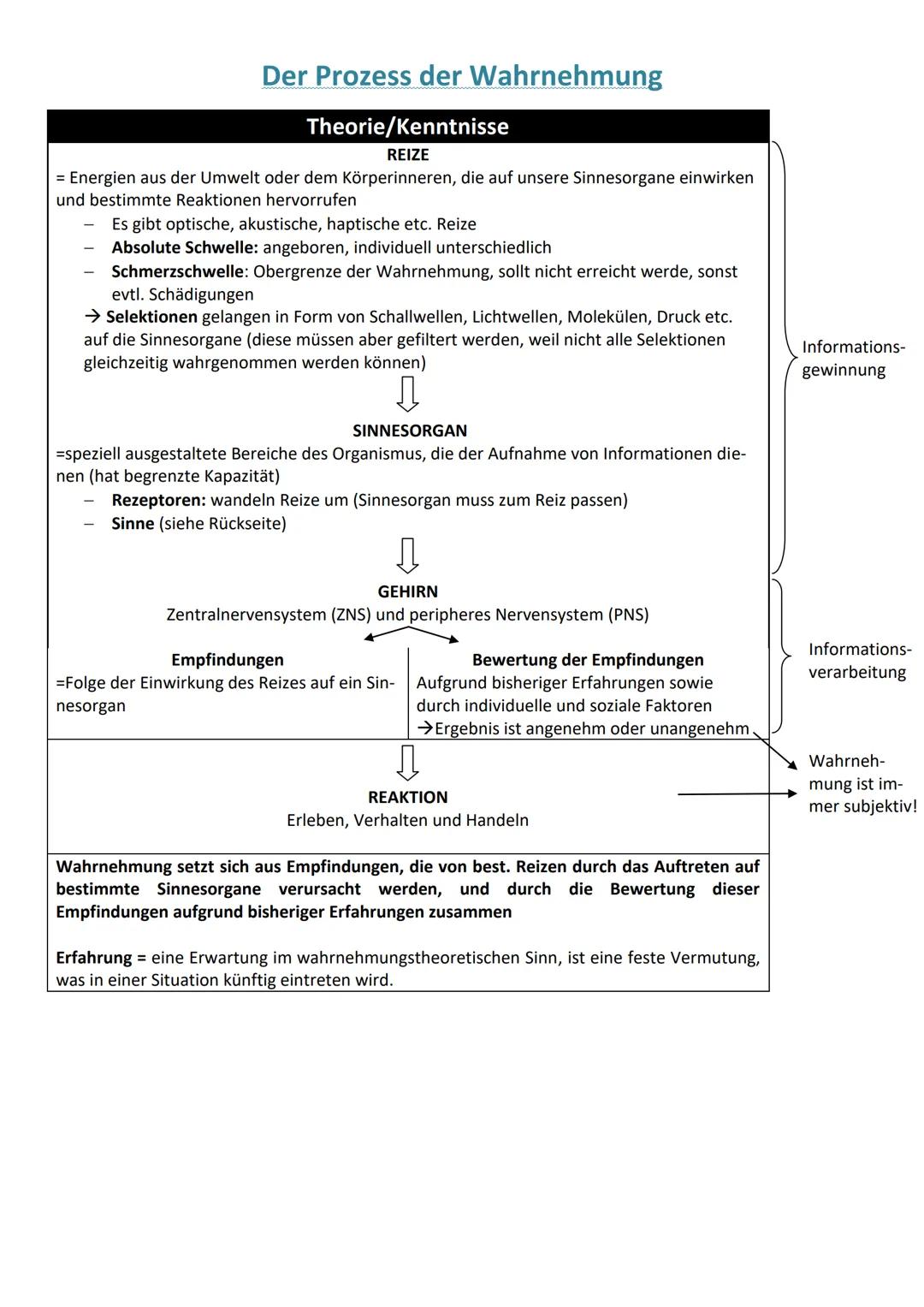
Stell dir vor, ein Reiz trifft auf deine Sinnesorgane - das können Lichtwellen, Schallwellen oder auch Moleküle sein. Aber nicht alle Reize schaffen es bis zu deinem Bewusstsein! Es gibt eine absolute Schwelle, unter der du nichts wahrnimmst, und eine Schmerzschwelle, die du besser nicht überschreitest.
Deine Sinnesorgane haben eine begrenzte Kapazität und müssen daher filtern - sonst wärst du völlig überwältigt. Die Rezeptoren wandeln nur die "wichtigsten" Reize um und leiten sie an dein Gehirn weiter.
Im Gehirn entstehen dann Empfindungen, die dein Nervensystem bewertet. Diese Bewertung basiert auf deinen bisherigen Erfahrungen und persönlichen Faktoren - deshalb findest du manche Dinge angenehm und andere nicht.
Das Endergebnis ist deine Reaktion: wie du erlebst, dich verhältst und handelst. Wahrnehmung ist also immer subjektiv - sie setzt sich aus deinen Empfindungen und deren Bewertung zusammen!
💡 Merke dir: Deine Erfahrungen sind wie Erwartungen - sie beeinflussen, was du in ähnlichen Situationen künftig wahrnehmen wirst.

Zugriff auf alle Dokumente
Verbessere deine Noten
Schließ dich Millionen Schülern an
Der Psychologe Zimbardo hat ein simples Drei-Stufen-Modell entwickelt, das zeigt, wie Wahrnehmung abläuft. In Stufe 1 nehmen deine Sinnesorgane und Rezeptoren einen Reiz auf und leiten ihn als elektrische Information an dein Gehirn weiter - das löst Empfindungen aus.
Stufe 2 ist besonders spannend: Hier fügt dein Gehirn die neuen Sinnesdaten mit dem zusammen, was bereits in deinem Gedächtnis gespeichert ist. Wie gut das klappt, hängt von deiner Aufmerksamkeit ab - schließlich prasseln ständig unzählige Reize auf dich ein, und du musst die interessanten und wichtigen auswählen.
In Stufe 3 passiert das Erkennen: Den wahrgenommenen Reizen wird eine bestimmte Bedeutung zugewiesen, sie werden identifiziert und wiedererkannt. Jetzt weißt du nicht nur "da ist etwas Rundes und Rotes", sondern "das ist ein Apfel"!
💡 Praxistipp: Wenn du dich auf etwas konzentrierst (Stufe 2), nimmst du automatisch mehr Details wahr und erkennst Dinge schneller wieder.

Zugriff auf alle Dokumente
Verbessere deine Noten
Schließ dich Millionen Schülern an
Dein Gehirn ist ein Meister darin, aus vielen einzelnen Reizen ein zusammenhängendes Bild zu basteln. Perzeptuelle Wahrnehmung bedeutet, dass du nicht einzelne Punkte, Linien oder Töne wahrnimmst, sondern komplette Objekte und Muster erkennst.
Gestaltgesetze sind die Regeln, nach denen dein Gehirn diese Ordnung schafft. Das wichtigste ist das Figur-Grund-Prinzip: Du hebst automatisch bestimmte Objekte von ihrer Umgebung ab - wie eine Stimme aus dem Orchesterklang oder Blumen vom grünen Rasen.
Weitere wichtige Gesetze sind: Ähnlichkeit (ähnliche Dinge gehören zusammen), Nähe (was nah beieinander ist, gehört zusammen), Kontinuität (du siehst Fortsetzungen und Muster) und Geschlossenheit (unvollständige Dinge werden automatisch vervollständigt).
Das Gesetz der Prägnanz sorgt dafür, dass dein Gehirn immer die einfachste und stabilste Lösung wählt. Deshalb siehst du in Punktlinien automatisch eine gerade Linie zum Schreiben!
💡 Alltagsbeispiel: Wenn du zwei Leute mit ähnlicher Kleidung siehst, nimmst du sie automatisch als Paar oder Gruppe wahr - das ist das Gesetz der Ähnlichkeit in Aktion!

Zugriff auf alle Dokumente
Verbessere deine Noten
Schließ dich Millionen Schülern an
Deine Wahrnehmung ist kein einfacher Reiz-Reaktions-Vorgang - eine Menge Faktoren beeinflussen, was und wie du etwas wahrnimmst. Biologische Faktoren wie die Beschaffenheit deiner Sinnesorgane, die Stärke der Reize und deine begrenzte Aufnahmekapazität spielen eine Rolle.
Noch wichtiger sind individuelle Faktoren: Deine Erfahrungen, Persönlichkeitsmerkmale, aktuellen Emotionen, Wertvorstellungen und Bedürfnisse färben deine Wahrnehmung ein. Wenn du hungrig bist, fallen dir Restaurants viel eher auf!
Soziale Faktoren wie deine Kultur, gesellschaftliche Normen und andere Menschen um dich herum beeinflussen ebenfalls, wie du die Welt siehst. Das erklärt, warum Menschen aus verschiedenen Kulturen manche Dinge völlig anders bewerten.
Der wichtigste Punkt: Du entwirfst dir deine eigene Welt! Realität ist, wie die Welt "an sich" ist, aber Wirklichkeit ist das, was du wahrnimmst. Deshalb gilt immer: Wahrnehmung ist subjektiv!
💡 Denk daran: Wenn du und deine Freunde eine Situation völlig unterschiedlich erlebt habt, liegt das nicht daran, dass jemand lügt - ihr habt einfach verschiedene "Wirklichkeiten" wahrgenommen!
Unser KI-Begleiter ist ein speziell für Schüler entwickeltes KI-Tool, das mehr als nur Antworten bietet. Basierend auf Millionen von Knowunity-Inhalten liefert er relevante Informationen, personalisierte Lernpläne, Quizze und Inhalte direkt im Chat und passt sich deinem individuellen Lernweg an.
Du kannst die App im Google Play Store und im Apple App Store herunterladen.
Genau! Genieße kostenlosen Zugang zu Lerninhalten, vernetze dich mit anderen Schülern und hol dir sofortige Hilfe – alles direkt auf deinem Handy.
36
Smart Tools NEU
Verwandle diesen Lernzettel in: ✓ 50+ Übungsfragen ✓ Interaktive Karteikarten ✓ Komplette Probeklausur ✓ Aufsatzgliederungen
Entdecken Sie die psychologischen Konzepte der Wahrnehmung und die Theorien von Sigmund Freud in dieser umfassenden Klausurvorbereitung. Erfahren Sie, wie Aufmerksamkeit unsere Wahrnehmung beeinflusst und analysieren Sie Freuds Drei-Instanzen-Modell sowie seine psychosexuellen Entwicklungsphasen. Ideal für Studierende der Psychologie, die sich auf Prüfungen vorbereiten.
Entdecken Sie die drei psychosexuellen Phasen nach Freud: die orale Phase (0-2 Jahre), die anale Phase (2-4 Jahre) und die phallische Phase (4-6 Jahre). Erfahren Sie, wie erogene Zonen, Triebbefriedigung und die Entwicklung von Ich und Realität in jeder Phase eine Rolle spielen. Diese Zusammenfassung bietet einen klaren Überblick über die zentralen Konzepte und deren Bedeutung für die psychologische Entwicklung.
Diese Zusammenfassung beleuchtet das außergewöhnliche Leben von Amala und Kamala, zwei Mädchen, die bei Wölfen aufwuchsen. Sie erfahren von ihrer Entdeckung, den Herausforderungen der menschlichen Anpassung und den tragischen Schicksalen der beiden. Die Studie behandelt zentrale Themen wie die Entwicklung menschlichen Verhaltens und die Schwierigkeiten bei der Integration in die Gesellschaft. Ideal für Studierende der Psychologie und Anthropologie.
Entdecken Sie die psychodynamische Perspektive auf menschliches Verhalten, die die inneren Kräfte und Triebe untersucht, die Handlungen motivieren. Diese Zusammenfassung behandelt die Theorien von Sigmund Freud, die Rolle der frühkindlichen Entwicklung und die Konflikte zwischen persönlichen Bedürfnissen und sozialen Anforderungen. Ideal für Studierende der Psychologie, die ein tieferes Verständnis der Motivationstheorien und der Persönlichkeitsentwicklung suchen.
Entdecken Sie die zentralen Konzepte der Psychologie, einschließlich Sigmund Freuds psychosexueller Entwicklungsstufen, kognitiver und behavioristischer Ansätze sowie der psychosozialen Entwicklung. Diese Zusammenfassung behandelt wichtige Theorien, Methoden und psychologische Prozesse, die für das Verständnis der menschlichen Psyche entscheidend sind. Ideal für Schüler der 11. und 12. Klasse, die sich auf Prüfungen vorbereiten oder ihr Wissen vertiefen möchten.
Entdecken Sie die verschiedenen Erziehungsstile nach Klaus Hurrelmann und Kurt Lewin sowie die philosophischen Ansätze von Friedrich Nietzsche in 'Von den drei Verwandlungen'. Diese Analyse beleuchtet die Herausforderungen moderner Erziehung und die Balance zwischen Autorität und kindlichen Bedürfnissen. Ideal für Studierende der Pädagogik und Erziehungswissenschaften.
App Store
Google Play
Die App ist sehr einfach zu bedienen und gut gestaltet. Ich habe bisher alles gefunden, wonach ich gesucht habe, und konnte viel aus den Präsentationen lernen! Ich werde die App definitiv für ein Schulprojekt nutzen! Und natürlich hilft sie auch sehr als Inspiration.
Stefan S
iOS-Nutzer
Diese App ist wirklich super. Es gibt so viele Lernzettel und Hilfen [...]. Mein Problemfach ist zum Beispiel Französisch und die App hat so viele Möglichkeiten zur Hilfe. Dank dieser App habe ich mich in Französisch verbessert. Ich würde sie jedem empfehlen.
Samantha Klich
Android-Nutzerin
Wow, ich bin wirklich begeistert. Ich habe die App einfach mal ausprobiert, weil ich sie schon oft beworben gesehen habe und war absolut beeindruckt. Diese App ist DIE HILFE, die man für die Schule braucht und vor allem bietet sie so viele Dinge wie Übungen und Lernzettel, die mir persönlich SEHR geholfen haben.
Anna
iOS-Nutzerin
Beste App der Welt! Keine Worte, weil sie einfach zu gut ist
Thomas R
iOS-Nutzer
Einfach genial. Lässt mich 10x besser lernen, diese App ist eine glatte 10/10. Ich empfehle sie jedem. Ich kann Lernzettel anschauen und suchen. Ich kann sie im Fachordner speichern. Ich kann sie jederzeit wiederholen, wenn ich zurückkomme. Wenn du diese App noch nicht ausprobiert hast, verpasst du wirklich was.
Basil
Android-Nutzer
Diese App hat mich so viel selbstbewusster in meiner Klausurvorbereitung gemacht, nicht nur durch die Stärkung meines Selbstvertrauens durch die Features, die es dir ermöglichen, dich mit anderen zu vernetzen und dich weniger allein zu fühlen, sondern auch durch die Art, wie die App selbst darauf ausgerichtet ist, dass du dich besser fühlst. Sie ist einfach zu bedienen, macht Spaß und hilft jedem, der in irgendeiner Weise Schwierigkeiten hat.
David K
iOS-Nutzer
Die App ist einfach super! Ich muss nur das Thema in die Suche eingeben und bekomme sofort eine Antwort. Ich muss nicht mehr 10 YouTube-Videos schauen, um etwas zu verstehen, und spare dadurch richtig viel Zeit. Sehr empfehlenswert!
Sudenaz Ocak
Android-Nutzerin
In der Schule war ich echt schlecht in Mathe, aber dank der App bin ich jetzt besser geworden. Ich bin so dankbar, dass ihr die App gemacht habt.
Greenlight Bonnie
Android-Nutzerin
sehr zuverlässige App, um deine Ideen in Mathe, Englisch und anderen verwandten Themen zu verbessern. bitte nutze diese App, wenn du in bestimmten Bereichen Schwierigkeiten hast, diese App ist dafür der Schlüssel. wünschte, ich hätte früher eine Bewertung geschrieben. und sie ist auch kostenlos, also mach dir darüber keine Sorgen.
Rohan U
Android-Nutzer
Ich weiß, dass viele Apps gefälschte Accounts nutzen, um ihre Bewertungen zu pushen, aber diese App verdient das alles. Ursprünglich hatte ich eine 4 in meinen Englisch-Klausuren und dieses Mal habe ich eine 2 bekommen. Ich wusste erst drei Tage vor der Klausur von dieser App und sie hat mir SEHR geholfen. Bitte vertrau mir wirklich und nutze sie, denn ich bin sicher, dass auch du Fortschritte sehen wirst.
Xander S
iOS-Nutzer
DIE QUIZZE UND KARTEIKARTEN SIND SO NÜTZLICH UND ICH LIEBE Knowunity KI. ES IST AUCH BUCHSTÄBLICH WIE CHATGPT ABER SCHLAUER!! HAT MIR AUCH BEI MEINEN MASCARA-PROBLEMEN GEHOLFEN!! SOWIE BEI MEINEN ECHTEN FÄCHERN! NATÜRLICH 😍😁😲🤑💗✨🎀😮
Elisha
iOS-Nutzer
Diese App ist echt der Hammer. Ich finde Lernen so langweilig, aber diese App macht es so einfach, alles zu organisieren und dann kannst du die kostenlose KI bitten, dich abzufragen, so gut, und du kannst einfach deine eigenen Sachen hochladen. sehr empfehlenswert als jemand, der gerade Probeklausuren schreibt
Paul T
iOS-Nutzer
Die App ist sehr einfach zu bedienen und gut gestaltet. Ich habe bisher alles gefunden, wonach ich gesucht habe, und konnte viel aus den Präsentationen lernen! Ich werde die App definitiv für ein Schulprojekt nutzen! Und natürlich hilft sie auch sehr als Inspiration.
Stefan S
iOS-Nutzer
Diese App ist wirklich super. Es gibt so viele Lernzettel und Hilfen [...]. Mein Problemfach ist zum Beispiel Französisch und die App hat so viele Möglichkeiten zur Hilfe. Dank dieser App habe ich mich in Französisch verbessert. Ich würde sie jedem empfehlen.
Samantha Klich
Android-Nutzerin
Wow, ich bin wirklich begeistert. Ich habe die App einfach mal ausprobiert, weil ich sie schon oft beworben gesehen habe und war absolut beeindruckt. Diese App ist DIE HILFE, die man für die Schule braucht und vor allem bietet sie so viele Dinge wie Übungen und Lernzettel, die mir persönlich SEHR geholfen haben.
Anna
iOS-Nutzerin
Beste App der Welt! Keine Worte, weil sie einfach zu gut ist
Thomas R
iOS-Nutzer
Einfach genial. Lässt mich 10x besser lernen, diese App ist eine glatte 10/10. Ich empfehle sie jedem. Ich kann Lernzettel anschauen und suchen. Ich kann sie im Fachordner speichern. Ich kann sie jederzeit wiederholen, wenn ich zurückkomme. Wenn du diese App noch nicht ausprobiert hast, verpasst du wirklich was.
Basil
Android-Nutzer
Diese App hat mich so viel selbstbewusster in meiner Klausurvorbereitung gemacht, nicht nur durch die Stärkung meines Selbstvertrauens durch die Features, die es dir ermöglichen, dich mit anderen zu vernetzen und dich weniger allein zu fühlen, sondern auch durch die Art, wie die App selbst darauf ausgerichtet ist, dass du dich besser fühlst. Sie ist einfach zu bedienen, macht Spaß und hilft jedem, der in irgendeiner Weise Schwierigkeiten hat.
David K
iOS-Nutzer
Die App ist einfach super! Ich muss nur das Thema in die Suche eingeben und bekomme sofort eine Antwort. Ich muss nicht mehr 10 YouTube-Videos schauen, um etwas zu verstehen, und spare dadurch richtig viel Zeit. Sehr empfehlenswert!
Sudenaz Ocak
Android-Nutzerin
In der Schule war ich echt schlecht in Mathe, aber dank der App bin ich jetzt besser geworden. Ich bin so dankbar, dass ihr die App gemacht habt.
Greenlight Bonnie
Android-Nutzerin
sehr zuverlässige App, um deine Ideen in Mathe, Englisch und anderen verwandten Themen zu verbessern. bitte nutze diese App, wenn du in bestimmten Bereichen Schwierigkeiten hast, diese App ist dafür der Schlüssel. wünschte, ich hätte früher eine Bewertung geschrieben. und sie ist auch kostenlos, also mach dir darüber keine Sorgen.
Rohan U
Android-Nutzer
Ich weiß, dass viele Apps gefälschte Accounts nutzen, um ihre Bewertungen zu pushen, aber diese App verdient das alles. Ursprünglich hatte ich eine 4 in meinen Englisch-Klausuren und dieses Mal habe ich eine 2 bekommen. Ich wusste erst drei Tage vor der Klausur von dieser App und sie hat mir SEHR geholfen. Bitte vertrau mir wirklich und nutze sie, denn ich bin sicher, dass auch du Fortschritte sehen wirst.
Xander S
iOS-Nutzer
DIE QUIZZE UND KARTEIKARTEN SIND SO NÜTZLICH UND ICH LIEBE Knowunity KI. ES IST AUCH BUCHSTÄBLICH WIE CHATGPT ABER SCHLAUER!! HAT MIR AUCH BEI MEINEN MASCARA-PROBLEMEN GEHOLFEN!! SOWIE BEI MEINEN ECHTEN FÄCHERN! NATÜRLICH 😍😁😲🤑💗✨🎀😮
Elisha
iOS-Nutzer
Diese App ist echt der Hammer. Ich finde Lernen so langweilig, aber diese App macht es so einfach, alles zu organisieren und dann kannst du die kostenlose KI bitten, dich abzufragen, so gut, und du kannst einfach deine eigenen Sachen hochladen. sehr empfehlenswert als jemand, der gerade Probeklausuren schreibt
Paul T
iOS-Nutzer