Psychologie und Pädagogik sind echte Wissenschaften - aber was bedeutet... Mehr anzeigen
Melde dich an, um den Inhalt zu sehenKostenlos!
Zugriff auf alle Dokumente
Verbessere deine Noten
Schließ dich Millionen Schülern an
Knowunity KI
Fächer
Triangle Congruence and Similarity Theorems
Triangle Properties and Classification
Linear Equations and Graphs
Geometric Angle Relationships
Trigonometric Functions and Identities
Equation Solving Techniques
Circle Geometry Fundamentals
Division Operations and Methods
Basic Differentiation Rules
Exponent and Logarithm Properties
Alle Themen anzeigen
Human Organ Systems
Reproductive Cell Cycles
Biological Sciences Subdisciplines
Cellular Energy Metabolism
Autotrophic Energy Processes
Inheritance Patterns and Principles
Biomolecular Structure and Organization
Cell Cycle and Division Mechanics
Cellular Organization and Development
Biological Structural Organization
Alle Themen anzeigen
Chemical Sciences and Applications
Atomic Structure and Composition
Molecular Electron Structure Representation
Atomic Electron Behavior
Matter Properties and Water
Mole Concept and Calculations
Gas Laws and Behavior
Periodic Table Organization
Chemical Thermodynamics Fundamentals
Chemical Bond Types and Properties
Alle Themen anzeigen
European Renaissance and Enlightenment
European Cultural Movements 800-1920
American Revolution Era 1763-1797
American Civil War 1861-1865
Global Imperial Systems
Mongol and Chinese Dynasties
U.S. Presidents and World Leaders
Historical Sources and Documentation
World Wars Era and Impact
World Religious Systems
Alle Themen anzeigen
Classic and Contemporary Novels
Literary Character Analysis
Rhetorical Theory and Practice
Classic Literary Narratives
Reading Analysis and Interpretation
Narrative Structure and Techniques
English Language Components
Influential English-Language Authors
Basic Sentence Structure
Narrative Voice and Perspective
Alle Themen anzeigen
1,050
•
Aktualisiert Apr 9, 2026
•
Sina
@sinamariebauer_rssp
Psychologie und Pädagogik sind echte Wissenschaften - aber was bedeutet... Mehr anzeigen










Stell dir vor, du willst verstehen, warum manche Schüler vor Prüfungen total in Panik geraten und andere völlig entspannt bleiben. Genau solche Fragen untersuchen Psychologie und Pädagogik mit vier klaren Zielen.
Die Beschreibung ist der erste Schritt - hier geht's nur darum zu beobachten, was passiert. Wie äußert sich Angst? Wann tritt sie auf? Welche Menschen zeigen sie häufiger? Noch keine Interpretationen, nur pure Beobachtung.
Bei der Erklärung suchst du nach dem Warum. Hier stellst du Ursache-Wirkungs-Zusammenhänge her und findest Gesetzmäßigkeiten. Das Verstehen geht noch tiefer - es fragt nach dem Sinn und Zweck: Welchen Zweck erfüllt die Angst für die betroffene Person?
Vorhersage und Veränderung sind die praktischen Ziele. Kannst du vorhersagen, wer wahrscheinlich Prüfungsangst entwickelt? Und wie kannst du gezielt helfen, diese Ängste abzubauen?
Merktipp: Die vier Ziele bauen aufeinander auf - ohne genaue Beschreibung keine sinnvolle Erklärung!

Was macht Psychologie und Pädagogik zu echten Wissenschaften? Es sind sechs Merkmale, die sie von Alltagswissen unterscheiden.
Jede Wissenschaft hat ihren Objektbereich - also den Bereich der Realität, den sie untersucht. Psychologie beschäftigt sich mit Erleben und Verhalten, Pädagogik mit der Erziehungswirklichkeit. Die Methoden sind dabei entscheidend - sie bestimmen, ob deine Erkenntnisse brauchbar sind oder nicht.
Das gewonnene Wissen wird in ein System gebracht, also strukturiert und vernetzt. Theorien sind dabei die Inhalte der Wissenschaft - zusammenhängende Satzsysteme, die Phänomene erklären. Jeder Wissenschaftler bringt sein Menschenbild mit, das seine Forschung beeinflusst.
Das Ziel ist immer Erkenntnisgewinnung - Wissenschaft ist ein Veränderungsprozess, bei dem ständig neues Wissen entsteht und altes überdacht wird.
Wichtig: Das methodische Vorgehen ist der "Schlüssel" - richtige Methode = richtige Erkenntnisse!

Damit Forschungsergebnisse wirklich verlässlich sind, müssen sie sechs wichtige Prinzipien erfüllen. Diese sorgen dafür, dass wissenschaftliche Erkenntnisse nicht nur Meinungen sind, sondern echtes Wissen.
Eindeutigkeit bedeutet, dass alle Begriffe klar definiert sind. Wenn du "Magersucht" untersuchst, musst du genau festlegen: zu wenig essen, Verweigerung trotz Hunger, verzerrte Selbstwahrnehmung. Überprüfbarkeit heißt, andere können deine Untersuchung nachvollziehen und wiederholen.
Validität (Gültigkeit) stellt sicher, dass du wirklich das misst, was du messen willst. Reliabilität (Zuverlässigkeit) sorgt für exakte, wiederholbare Messungen - immer dieselbe Waage, immer nackt wiegen. Objektivität macht die Forschung unabhängig von der Person des Forschers.
Widerspruchsfreiheit bedeutet, dass sich die Aussagen nicht gegenseitig widersprechen, sondern ein stimmiges Gesamtbild ergeben.
Eselsbrücke: EÜVROW - Eindeutigkeit, Überprüfbarkeit, Validität, Reliabilität, Objektivität, Widerspruchsfreiheit!

Es gibt zwei grundlegende Wege, wie Wissenschaft die Welt verstehen kann - und beide sind wichtig für Psychologie und Pädagogik.
Die erklärende Position funktioniert wie ein Detektiv: Sie sucht Ursache-Wirkungs-Zusammenhänge und Gesetzmäßigkeiten. Wenn du herausfindest, dass bestimmte Lernmethoden zu besseren Noten führen, hast du eine wenn-dann-Beziehung entdeckt. Theorien helfen dabei, das Warum hinter diesen Gesetzmäßigkeiten zu verstehen.
Die verstehende Position fragt nach dem Wozu und dem Sinn. Sie will den Zweck menschlichen Verhaltens erfassen. Warum verhält sich ein Schüler störend im Unterricht? Welchen Sinn erfüllt das für ihn? Hier nutzt man geisteswissenschaftliche Methoden wie Hermeneutik.
Moderne Wissenschaft verschränkt beide Positionen. Menschen sind sowohl Teil der Natur (mit messbaren Gesetzmäßigkeiten) als auch Produzenten von Kultur und Sinn. Deshalb brauchen wir beide Fragen: Warum? (erklärend) und Wozu? (verstehend).
Verstanden: Gute Wissenschaft erklärt UND versteht - sie findet Ursachen UND Sinn!

Je nach wissenschaftlicher Position nutzt man verschiedene Methoden - die Werkzeuge, mit denen Wissen gewonnen wird.
Geisteswissenschaftliche Methoden gehören zur verstehenden Position und helfen beim Erfassen von Sinn und Bedeutung. Empirische Methoden gehören zur erklärenden Position und arbeiten mit beobachtbaren Daten.
Das Experiment ist die Königsdisziplin der empirischen Methoden. Es ist das absichtliche und planmäßige Herbeiführen eines Vorganges, um ihn gezielt beobachten zu können. Du unterscheidest zwischen Laborexperimenten (unter kontrollierten Bedingungen) und Feldexperimenten (in natürlicher Umgebung).
Ein echtes Experiment hat drei Kriterien: Willkürlichkeit (du bestimmst Bedingungen, Ort und Zeit), Variierbarkeit (du kannst Bedingungen verändern) und Wiederholbarkeit (du kannst alles beliebig oft wiederholen).
Praxistipp: Experimente sind mächtig, aber nicht alles lässt sich experimentell untersuchen - manchmal brauchst du andere Methoden!

Wenn du eine empirische Untersuchung durchführst, folgst du einem klaren 10-Schritte-Plan. Das ist wie ein Rezept - jeder Schritt baut auf dem vorherigen auf.
Zuerst formulierst du eine wissenschaftliche Fragestellung und bildest eine Hypothese - eine vorläufige, prüfbare Aussage über das erwartete Ergebnis. Dann bestimmst du die Variablen: die unabhängige Variable (Ursache) und die abhängige Variable (Wirkung).
Die Operationalisierung macht abstrakte Begriffe messbar. "Intelligenz" wird zu "IQ-Testwerten". Du schaltest intervenierende Variablen aus, die dein Ergebnis verfälschen könnten, und wählst eine repräsentative Stichprobe aus der Population.
Nach der Durchführung wertest du die Daten mit Statistik aus und quantifizierst die Ergebnisse. Deine Hypothese wird verifiziert oder falsifiziert. Replikation (Wiederholung) bestätigt die Ergebnisse, bevor du allgemeingültige Aussagen formulierst.
Erfolgsgeheimnis: Jeder Schritt muss sauber gemacht werden - eine Schwachstelle kann die ganze Untersuchung unbrauchbar machen!



Unser KI-Begleiter ist ein speziell für Schüler entwickeltes KI-Tool, das mehr als nur Antworten bietet. Basierend auf Millionen von Knowunity-Inhalten liefert er relevante Informationen, personalisierte Lernpläne, Quizze und Inhalte direkt im Chat und passt sich deinem individuellen Lernweg an.
Du kannst die App im Google Play Store und im Apple App Store herunterladen.
Genau! Genieße kostenlosen Zugang zu Lerninhalten, vernetze dich mit anderen Schülern und hol dir sofortige Hilfe – alles direkt auf deinem Handy.
App Store
Google Play
Die App ist sehr einfach zu bedienen und gut gestaltet. Ich habe bisher alles gefunden, wonach ich gesucht habe, und konnte viel aus den Präsentationen lernen! Ich werde die App definitiv für ein Schulprojekt nutzen! Und natürlich hilft sie auch sehr als Inspiration.
Stefan S
iOS-Nutzer
Diese App ist wirklich super. Es gibt so viele Lernzettel und Hilfen [...]. Mein Problemfach ist zum Beispiel Französisch und die App hat so viele Möglichkeiten zur Hilfe. Dank dieser App habe ich mich in Französisch verbessert. Ich würde sie jedem empfehlen.
Samantha Klich
Android-Nutzerin
Wow, ich bin wirklich begeistert. Ich habe die App einfach mal ausprobiert, weil ich sie schon oft beworben gesehen habe und war absolut beeindruckt. Diese App ist DIE HILFE, die man für die Schule braucht und vor allem bietet sie so viele Dinge wie Übungen und Lernzettel, die mir persönlich SEHR geholfen haben.
Anna
iOS-Nutzerin
Beste App der Welt! Keine Worte, weil sie einfach zu gut ist
Thomas R
iOS-Nutzer
Einfach genial. Lässt mich 10x besser lernen, diese App ist eine glatte 10/10. Ich empfehle sie jedem. Ich kann Lernzettel anschauen und suchen. Ich kann sie im Fachordner speichern. Ich kann sie jederzeit wiederholen, wenn ich zurückkomme. Wenn du diese App noch nicht ausprobiert hast, verpasst du wirklich was.
Basil
Android-Nutzer
Diese App hat mich so viel selbstbewusster in meiner Klausurvorbereitung gemacht, nicht nur durch die Stärkung meines Selbstvertrauens durch die Features, die es dir ermöglichen, dich mit anderen zu vernetzen und dich weniger allein zu fühlen, sondern auch durch die Art, wie die App selbst darauf ausgerichtet ist, dass du dich besser fühlst. Sie ist einfach zu bedienen, macht Spaß und hilft jedem, der in irgendeiner Weise Schwierigkeiten hat.
David K
iOS-Nutzer
Die App ist einfach super! Ich muss nur das Thema in die Suche eingeben und bekomme sofort eine Antwort. Ich muss nicht mehr 10 YouTube-Videos schauen, um etwas zu verstehen, und spare dadurch richtig viel Zeit. Sehr empfehlenswert!
Sudenaz Ocak
Android-Nutzerin
In der Schule war ich echt schlecht in Mathe, aber dank der App bin ich jetzt besser geworden. Ich bin so dankbar, dass ihr die App gemacht habt.
Greenlight Bonnie
Android-Nutzerin
sehr zuverlässige App, um deine Ideen in Mathe, Englisch und anderen verwandten Themen zu verbessern. bitte nutze diese App, wenn du in bestimmten Bereichen Schwierigkeiten hast, diese App ist dafür der Schlüssel. wünschte, ich hätte früher eine Bewertung geschrieben. und sie ist auch kostenlos, also mach dir darüber keine Sorgen.
Rohan U
Android-Nutzer
Ich weiß, dass viele Apps gefälschte Accounts nutzen, um ihre Bewertungen zu pushen, aber diese App verdient das alles. Ursprünglich hatte ich eine 4 in meinen Englisch-Klausuren und dieses Mal habe ich eine 2 bekommen. Ich wusste erst drei Tage vor der Klausur von dieser App und sie hat mir SEHR geholfen. Bitte vertrau mir wirklich und nutze sie, denn ich bin sicher, dass auch du Fortschritte sehen wirst.
Xander S
iOS-Nutzer
DIE QUIZZE UND KARTEIKARTEN SIND SO NÜTZLICH UND ICH LIEBE Knowunity KI. ES IST AUCH BUCHSTÄBLICH WIE CHATGPT ABER SCHLAUER!! HAT MIR AUCH BEI MEINEN MASCARA-PROBLEMEN GEHOLFEN!! SOWIE BEI MEINEN ECHTEN FÄCHERN! NATÜRLICH 😍😁😲🤑💗✨🎀😮
Elisha
iOS-Nutzer
Diese App ist echt der Hammer. Ich finde Lernen so langweilig, aber diese App macht es so einfach, alles zu organisieren und dann kannst du die kostenlose KI bitten, dich abzufragen, so gut, und du kannst einfach deine eigenen Sachen hochladen. sehr empfehlenswert als jemand, der gerade Probeklausuren schreibt
Paul T
iOS-Nutzer
Die App ist sehr einfach zu bedienen und gut gestaltet. Ich habe bisher alles gefunden, wonach ich gesucht habe, und konnte viel aus den Präsentationen lernen! Ich werde die App definitiv für ein Schulprojekt nutzen! Und natürlich hilft sie auch sehr als Inspiration.
Stefan S
iOS-Nutzer
Diese App ist wirklich super. Es gibt so viele Lernzettel und Hilfen [...]. Mein Problemfach ist zum Beispiel Französisch und die App hat so viele Möglichkeiten zur Hilfe. Dank dieser App habe ich mich in Französisch verbessert. Ich würde sie jedem empfehlen.
Samantha Klich
Android-Nutzerin
Wow, ich bin wirklich begeistert. Ich habe die App einfach mal ausprobiert, weil ich sie schon oft beworben gesehen habe und war absolut beeindruckt. Diese App ist DIE HILFE, die man für die Schule braucht und vor allem bietet sie so viele Dinge wie Übungen und Lernzettel, die mir persönlich SEHR geholfen haben.
Anna
iOS-Nutzerin
Beste App der Welt! Keine Worte, weil sie einfach zu gut ist
Thomas R
iOS-Nutzer
Einfach genial. Lässt mich 10x besser lernen, diese App ist eine glatte 10/10. Ich empfehle sie jedem. Ich kann Lernzettel anschauen und suchen. Ich kann sie im Fachordner speichern. Ich kann sie jederzeit wiederholen, wenn ich zurückkomme. Wenn du diese App noch nicht ausprobiert hast, verpasst du wirklich was.
Basil
Android-Nutzer
Diese App hat mich so viel selbstbewusster in meiner Klausurvorbereitung gemacht, nicht nur durch die Stärkung meines Selbstvertrauens durch die Features, die es dir ermöglichen, dich mit anderen zu vernetzen und dich weniger allein zu fühlen, sondern auch durch die Art, wie die App selbst darauf ausgerichtet ist, dass du dich besser fühlst. Sie ist einfach zu bedienen, macht Spaß und hilft jedem, der in irgendeiner Weise Schwierigkeiten hat.
David K
iOS-Nutzer
Die App ist einfach super! Ich muss nur das Thema in die Suche eingeben und bekomme sofort eine Antwort. Ich muss nicht mehr 10 YouTube-Videos schauen, um etwas zu verstehen, und spare dadurch richtig viel Zeit. Sehr empfehlenswert!
Sudenaz Ocak
Android-Nutzerin
In der Schule war ich echt schlecht in Mathe, aber dank der App bin ich jetzt besser geworden. Ich bin so dankbar, dass ihr die App gemacht habt.
Greenlight Bonnie
Android-Nutzerin
sehr zuverlässige App, um deine Ideen in Mathe, Englisch und anderen verwandten Themen zu verbessern. bitte nutze diese App, wenn du in bestimmten Bereichen Schwierigkeiten hast, diese App ist dafür der Schlüssel. wünschte, ich hätte früher eine Bewertung geschrieben. und sie ist auch kostenlos, also mach dir darüber keine Sorgen.
Rohan U
Android-Nutzer
Ich weiß, dass viele Apps gefälschte Accounts nutzen, um ihre Bewertungen zu pushen, aber diese App verdient das alles. Ursprünglich hatte ich eine 4 in meinen Englisch-Klausuren und dieses Mal habe ich eine 2 bekommen. Ich wusste erst drei Tage vor der Klausur von dieser App und sie hat mir SEHR geholfen. Bitte vertrau mir wirklich und nutze sie, denn ich bin sicher, dass auch du Fortschritte sehen wirst.
Xander S
iOS-Nutzer
DIE QUIZZE UND KARTEIKARTEN SIND SO NÜTZLICH UND ICH LIEBE Knowunity KI. ES IST AUCH BUCHSTÄBLICH WIE CHATGPT ABER SCHLAUER!! HAT MIR AUCH BEI MEINEN MASCARA-PROBLEMEN GEHOLFEN!! SOWIE BEI MEINEN ECHTEN FÄCHERN! NATÜRLICH 😍😁😲🤑💗✨🎀😮
Elisha
iOS-Nutzer
Diese App ist echt der Hammer. Ich finde Lernen so langweilig, aber diese App macht es so einfach, alles zu organisieren und dann kannst du die kostenlose KI bitten, dich abzufragen, so gut, und du kannst einfach deine eigenen Sachen hochladen. sehr empfehlenswert als jemand, der gerade Probeklausuren schreibt
Paul T
iOS-Nutzer
Sina
@sinamariebauer_rssp
Psychologie und Pädagogik sind echte Wissenschaften - aber was bedeutet das eigentlich? Hier lernst du, wie diese Fächer systematisch vorgehen, um verlässliche Erkenntnisse über menschliches Verhalten und Lernen zu gewinnen. Du wirst sehen, dass wissenschaftliches Arbeiten viel strukturierter ist, als... Mehr anzeigen

Zugriff auf alle Dokumente
Verbessere deine Noten
Schließ dich Millionen Schülern an
Stell dir vor, du willst verstehen, warum manche Schüler vor Prüfungen total in Panik geraten und andere völlig entspannt bleiben. Genau solche Fragen untersuchen Psychologie und Pädagogik mit vier klaren Zielen.
Die Beschreibung ist der erste Schritt - hier geht's nur darum zu beobachten, was passiert. Wie äußert sich Angst? Wann tritt sie auf? Welche Menschen zeigen sie häufiger? Noch keine Interpretationen, nur pure Beobachtung.
Bei der Erklärung suchst du nach dem Warum. Hier stellst du Ursache-Wirkungs-Zusammenhänge her und findest Gesetzmäßigkeiten. Das Verstehen geht noch tiefer - es fragt nach dem Sinn und Zweck: Welchen Zweck erfüllt die Angst für die betroffene Person?
Vorhersage und Veränderung sind die praktischen Ziele. Kannst du vorhersagen, wer wahrscheinlich Prüfungsangst entwickelt? Und wie kannst du gezielt helfen, diese Ängste abzubauen?
Merktipp: Die vier Ziele bauen aufeinander auf - ohne genaue Beschreibung keine sinnvolle Erklärung!

Zugriff auf alle Dokumente
Verbessere deine Noten
Schließ dich Millionen Schülern an
Was macht Psychologie und Pädagogik zu echten Wissenschaften? Es sind sechs Merkmale, die sie von Alltagswissen unterscheiden.
Jede Wissenschaft hat ihren Objektbereich - also den Bereich der Realität, den sie untersucht. Psychologie beschäftigt sich mit Erleben und Verhalten, Pädagogik mit der Erziehungswirklichkeit. Die Methoden sind dabei entscheidend - sie bestimmen, ob deine Erkenntnisse brauchbar sind oder nicht.
Das gewonnene Wissen wird in ein System gebracht, also strukturiert und vernetzt. Theorien sind dabei die Inhalte der Wissenschaft - zusammenhängende Satzsysteme, die Phänomene erklären. Jeder Wissenschaftler bringt sein Menschenbild mit, das seine Forschung beeinflusst.
Das Ziel ist immer Erkenntnisgewinnung - Wissenschaft ist ein Veränderungsprozess, bei dem ständig neues Wissen entsteht und altes überdacht wird.
Wichtig: Das methodische Vorgehen ist der "Schlüssel" - richtige Methode = richtige Erkenntnisse!

Zugriff auf alle Dokumente
Verbessere deine Noten
Schließ dich Millionen Schülern an
Damit Forschungsergebnisse wirklich verlässlich sind, müssen sie sechs wichtige Prinzipien erfüllen. Diese sorgen dafür, dass wissenschaftliche Erkenntnisse nicht nur Meinungen sind, sondern echtes Wissen.
Eindeutigkeit bedeutet, dass alle Begriffe klar definiert sind. Wenn du "Magersucht" untersuchst, musst du genau festlegen: zu wenig essen, Verweigerung trotz Hunger, verzerrte Selbstwahrnehmung. Überprüfbarkeit heißt, andere können deine Untersuchung nachvollziehen und wiederholen.
Validität (Gültigkeit) stellt sicher, dass du wirklich das misst, was du messen willst. Reliabilität (Zuverlässigkeit) sorgt für exakte, wiederholbare Messungen - immer dieselbe Waage, immer nackt wiegen. Objektivität macht die Forschung unabhängig von der Person des Forschers.
Widerspruchsfreiheit bedeutet, dass sich die Aussagen nicht gegenseitig widersprechen, sondern ein stimmiges Gesamtbild ergeben.
Eselsbrücke: EÜVROW - Eindeutigkeit, Überprüfbarkeit, Validität, Reliabilität, Objektivität, Widerspruchsfreiheit!

Zugriff auf alle Dokumente
Verbessere deine Noten
Schließ dich Millionen Schülern an
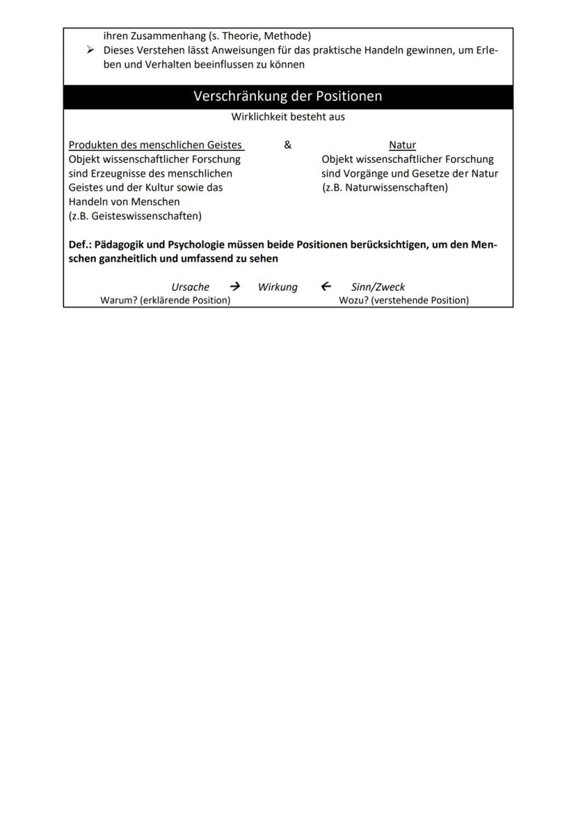
Es gibt zwei grundlegende Wege, wie Wissenschaft die Welt verstehen kann - und beide sind wichtig für Psychologie und Pädagogik.
Die erklärende Position funktioniert wie ein Detektiv: Sie sucht Ursache-Wirkungs-Zusammenhänge und Gesetzmäßigkeiten. Wenn du herausfindest, dass bestimmte Lernmethoden zu besseren Noten führen, hast du eine wenn-dann-Beziehung entdeckt. Theorien helfen dabei, das Warum hinter diesen Gesetzmäßigkeiten zu verstehen.
Die verstehende Position fragt nach dem Wozu und dem Sinn. Sie will den Zweck menschlichen Verhaltens erfassen. Warum verhält sich ein Schüler störend im Unterricht? Welchen Sinn erfüllt das für ihn? Hier nutzt man geisteswissenschaftliche Methoden wie Hermeneutik.
Moderne Wissenschaft verschränkt beide Positionen. Menschen sind sowohl Teil der Natur (mit messbaren Gesetzmäßigkeiten) als auch Produzenten von Kultur und Sinn. Deshalb brauchen wir beide Fragen: Warum? (erklärend) und Wozu? (verstehend).
Verstanden: Gute Wissenschaft erklärt UND versteht - sie findet Ursachen UND Sinn!

Zugriff auf alle Dokumente
Verbessere deine Noten
Schließ dich Millionen Schülern an
Je nach wissenschaftlicher Position nutzt man verschiedene Methoden - die Werkzeuge, mit denen Wissen gewonnen wird.
Geisteswissenschaftliche Methoden gehören zur verstehenden Position und helfen beim Erfassen von Sinn und Bedeutung. Empirische Methoden gehören zur erklärenden Position und arbeiten mit beobachtbaren Daten.
Das Experiment ist die Königsdisziplin der empirischen Methoden. Es ist das absichtliche und planmäßige Herbeiführen eines Vorganges, um ihn gezielt beobachten zu können. Du unterscheidest zwischen Laborexperimenten (unter kontrollierten Bedingungen) und Feldexperimenten (in natürlicher Umgebung).
Ein echtes Experiment hat drei Kriterien: Willkürlichkeit (du bestimmst Bedingungen, Ort und Zeit), Variierbarkeit (du kannst Bedingungen verändern) und Wiederholbarkeit (du kannst alles beliebig oft wiederholen).
Praxistipp: Experimente sind mächtig, aber nicht alles lässt sich experimentell untersuchen - manchmal brauchst du andere Methoden!

Zugriff auf alle Dokumente
Verbessere deine Noten
Schließ dich Millionen Schülern an
Wenn du eine empirische Untersuchung durchführst, folgst du einem klaren 10-Schritte-Plan. Das ist wie ein Rezept - jeder Schritt baut auf dem vorherigen auf.
Zuerst formulierst du eine wissenschaftliche Fragestellung und bildest eine Hypothese - eine vorläufige, prüfbare Aussage über das erwartete Ergebnis. Dann bestimmst du die Variablen: die unabhängige Variable (Ursache) und die abhängige Variable (Wirkung).
Die Operationalisierung macht abstrakte Begriffe messbar. "Intelligenz" wird zu "IQ-Testwerten". Du schaltest intervenierende Variablen aus, die dein Ergebnis verfälschen könnten, und wählst eine repräsentative Stichprobe aus der Population.
Nach der Durchführung wertest du die Daten mit Statistik aus und quantifizierst die Ergebnisse. Deine Hypothese wird verifiziert oder falsifiziert. Replikation (Wiederholung) bestätigt die Ergebnisse, bevor du allgemeingültige Aussagen formulierst.
Erfolgsgeheimnis: Jeder Schritt muss sauber gemacht werden - eine Schwachstelle kann die ganze Untersuchung unbrauchbar machen!

Zugriff auf alle Dokumente
Verbessere deine Noten
Schließ dich Millionen Schülern an

Zugriff auf alle Dokumente
Verbessere deine Noten
Schließ dich Millionen Schülern an

Zugriff auf alle Dokumente
Verbessere deine Noten
Schließ dich Millionen Schülern an
Unser KI-Begleiter ist ein speziell für Schüler entwickeltes KI-Tool, das mehr als nur Antworten bietet. Basierend auf Millionen von Knowunity-Inhalten liefert er relevante Informationen, personalisierte Lernpläne, Quizze und Inhalte direkt im Chat und passt sich deinem individuellen Lernweg an.
Du kannst die App im Google Play Store und im Apple App Store herunterladen.
Genau! Genieße kostenlosen Zugang zu Lerninhalten, vernetze dich mit anderen Schülern und hol dir sofortige Hilfe – alles direkt auf deinem Handy.
31
Smart Tools NEU
Verwandle diesen Lernzettel in: ✓ 50+ Übungsfragen ✓ Interaktive Karteikarten ✓ Komplette Probeklausur ✓ Aufsatzgliederungen
Diese Analyse untersucht Wilhelm Heitmeyers Theorie zur gesellschaftlichen Desintegration und deren Einfluss auf Jugendgewalt. Es werden zentrale Konzepte wie die Formen von Gewalt, die Bedeutung von Integrationsmaßnahmen und die Rolle von Jugendarrest behandelt. Ziel ist es, präventive Ansätze zur Bekämpfung von Jugendgewalt zu erörtern und die Notwendigkeit sozialer Ressourcen zu betonen.
Diese Ausarbeitung beleuchtet die pränatale Entwicklung und deren Einfluss auf das spätere Leben. Sie behandelt die verschiedenen Stadien der Schwangerschaft, die Bedeutung der Mutter-Kind-Bindung sowie pränatale und perinatale Einflüsse auf die Entwicklung des Ungeborenen. Ideal für Studierende der Entwicklungspsychologie und Biologie.
Entdecken Sie die Kernkonzepte der systemischen Therapie, einschließlich der Skulptur- und Aufstellungsarbeit, der Definition von Familie und den Prinzipien des systemischen Denkens. Diese Zusammenfassung bietet Einblicke in Familiensysteme, Delegation, systemische Fragen und Reframing-Techniken. Ideal für Studierende der Psychologie und Sozialwissenschaften, die ein vertieftes Verständnis der systemischen Ansätze in der Therapie suchen.
Entdecken Sie die Grundlagen der Psychologie und Erziehung in diesem umfassenden Überblick. Erfahren Sie mehr über die Rolle der Alltagstheorie, wissenschaftliche Methoden, qualitative und quantitative Forschung sowie die Ziele der Pädagogik und Psychologie. Diese Zusammenfassung bietet wertvolle Einblicke in die Beziehung zwischen Theorie und Praxis, die Bedeutung von Beobachtungen und Tests sowie die verschiedenen Ansätze zur Erklärung menschlichen Verhaltens. Ideal für Studierende der Erziehungswissenschaften und Psychologie.
Erforschen Sie die Konflikte der Libidoentwicklung anhand des Fallbeispiels von Theresa. Diese Zusammenfassung behandelt die psychoanalytische Theorie, die Persönlichkeitsinstanzen und die Rolle von Erziehung in der Entwicklung von Ängsten. Ideal für Studierende der Psychologie, die sich mit Freuds Theorien und psychoanalytischen Therapien auseinandersetzen möchten.
Erforschen Sie das bifokale Behandlungskonzept von Udo Rauchfleisch, das intrapsychische Konflikte und die Integration von Persönlichkeitsaspekten behandelt. Diese Zusammenfassung bietet Einblicke in die Herausforderungen der Therapie, die Rolle des Therapeuten und die Bedeutung der Beziehung zwischen Therapeut und Patient. Ideal für Studierende der Psychologie und Psychotherapie.
App Store
Google Play
Die App ist sehr einfach zu bedienen und gut gestaltet. Ich habe bisher alles gefunden, wonach ich gesucht habe, und konnte viel aus den Präsentationen lernen! Ich werde die App definitiv für ein Schulprojekt nutzen! Und natürlich hilft sie auch sehr als Inspiration.
Stefan S
iOS-Nutzer
Diese App ist wirklich super. Es gibt so viele Lernzettel und Hilfen [...]. Mein Problemfach ist zum Beispiel Französisch und die App hat so viele Möglichkeiten zur Hilfe. Dank dieser App habe ich mich in Französisch verbessert. Ich würde sie jedem empfehlen.
Samantha Klich
Android-Nutzerin
Wow, ich bin wirklich begeistert. Ich habe die App einfach mal ausprobiert, weil ich sie schon oft beworben gesehen habe und war absolut beeindruckt. Diese App ist DIE HILFE, die man für die Schule braucht und vor allem bietet sie so viele Dinge wie Übungen und Lernzettel, die mir persönlich SEHR geholfen haben.
Anna
iOS-Nutzerin
Beste App der Welt! Keine Worte, weil sie einfach zu gut ist
Thomas R
iOS-Nutzer
Einfach genial. Lässt mich 10x besser lernen, diese App ist eine glatte 10/10. Ich empfehle sie jedem. Ich kann Lernzettel anschauen und suchen. Ich kann sie im Fachordner speichern. Ich kann sie jederzeit wiederholen, wenn ich zurückkomme. Wenn du diese App noch nicht ausprobiert hast, verpasst du wirklich was.
Basil
Android-Nutzer
Diese App hat mich so viel selbstbewusster in meiner Klausurvorbereitung gemacht, nicht nur durch die Stärkung meines Selbstvertrauens durch die Features, die es dir ermöglichen, dich mit anderen zu vernetzen und dich weniger allein zu fühlen, sondern auch durch die Art, wie die App selbst darauf ausgerichtet ist, dass du dich besser fühlst. Sie ist einfach zu bedienen, macht Spaß und hilft jedem, der in irgendeiner Weise Schwierigkeiten hat.
David K
iOS-Nutzer
Die App ist einfach super! Ich muss nur das Thema in die Suche eingeben und bekomme sofort eine Antwort. Ich muss nicht mehr 10 YouTube-Videos schauen, um etwas zu verstehen, und spare dadurch richtig viel Zeit. Sehr empfehlenswert!
Sudenaz Ocak
Android-Nutzerin
In der Schule war ich echt schlecht in Mathe, aber dank der App bin ich jetzt besser geworden. Ich bin so dankbar, dass ihr die App gemacht habt.
Greenlight Bonnie
Android-Nutzerin
sehr zuverlässige App, um deine Ideen in Mathe, Englisch und anderen verwandten Themen zu verbessern. bitte nutze diese App, wenn du in bestimmten Bereichen Schwierigkeiten hast, diese App ist dafür der Schlüssel. wünschte, ich hätte früher eine Bewertung geschrieben. und sie ist auch kostenlos, also mach dir darüber keine Sorgen.
Rohan U
Android-Nutzer
Ich weiß, dass viele Apps gefälschte Accounts nutzen, um ihre Bewertungen zu pushen, aber diese App verdient das alles. Ursprünglich hatte ich eine 4 in meinen Englisch-Klausuren und dieses Mal habe ich eine 2 bekommen. Ich wusste erst drei Tage vor der Klausur von dieser App und sie hat mir SEHR geholfen. Bitte vertrau mir wirklich und nutze sie, denn ich bin sicher, dass auch du Fortschritte sehen wirst.
Xander S
iOS-Nutzer
DIE QUIZZE UND KARTEIKARTEN SIND SO NÜTZLICH UND ICH LIEBE Knowunity KI. ES IST AUCH BUCHSTÄBLICH WIE CHATGPT ABER SCHLAUER!! HAT MIR AUCH BEI MEINEN MASCARA-PROBLEMEN GEHOLFEN!! SOWIE BEI MEINEN ECHTEN FÄCHERN! NATÜRLICH 😍😁😲🤑💗✨🎀😮
Elisha
iOS-Nutzer
Diese App ist echt der Hammer. Ich finde Lernen so langweilig, aber diese App macht es so einfach, alles zu organisieren und dann kannst du die kostenlose KI bitten, dich abzufragen, so gut, und du kannst einfach deine eigenen Sachen hochladen. sehr empfehlenswert als jemand, der gerade Probeklausuren schreibt
Paul T
iOS-Nutzer
Die App ist sehr einfach zu bedienen und gut gestaltet. Ich habe bisher alles gefunden, wonach ich gesucht habe, und konnte viel aus den Präsentationen lernen! Ich werde die App definitiv für ein Schulprojekt nutzen! Und natürlich hilft sie auch sehr als Inspiration.
Stefan S
iOS-Nutzer
Diese App ist wirklich super. Es gibt so viele Lernzettel und Hilfen [...]. Mein Problemfach ist zum Beispiel Französisch und die App hat so viele Möglichkeiten zur Hilfe. Dank dieser App habe ich mich in Französisch verbessert. Ich würde sie jedem empfehlen.
Samantha Klich
Android-Nutzerin
Wow, ich bin wirklich begeistert. Ich habe die App einfach mal ausprobiert, weil ich sie schon oft beworben gesehen habe und war absolut beeindruckt. Diese App ist DIE HILFE, die man für die Schule braucht und vor allem bietet sie so viele Dinge wie Übungen und Lernzettel, die mir persönlich SEHR geholfen haben.
Anna
iOS-Nutzerin
Beste App der Welt! Keine Worte, weil sie einfach zu gut ist
Thomas R
iOS-Nutzer
Einfach genial. Lässt mich 10x besser lernen, diese App ist eine glatte 10/10. Ich empfehle sie jedem. Ich kann Lernzettel anschauen und suchen. Ich kann sie im Fachordner speichern. Ich kann sie jederzeit wiederholen, wenn ich zurückkomme. Wenn du diese App noch nicht ausprobiert hast, verpasst du wirklich was.
Basil
Android-Nutzer
Diese App hat mich so viel selbstbewusster in meiner Klausurvorbereitung gemacht, nicht nur durch die Stärkung meines Selbstvertrauens durch die Features, die es dir ermöglichen, dich mit anderen zu vernetzen und dich weniger allein zu fühlen, sondern auch durch die Art, wie die App selbst darauf ausgerichtet ist, dass du dich besser fühlst. Sie ist einfach zu bedienen, macht Spaß und hilft jedem, der in irgendeiner Weise Schwierigkeiten hat.
David K
iOS-Nutzer
Die App ist einfach super! Ich muss nur das Thema in die Suche eingeben und bekomme sofort eine Antwort. Ich muss nicht mehr 10 YouTube-Videos schauen, um etwas zu verstehen, und spare dadurch richtig viel Zeit. Sehr empfehlenswert!
Sudenaz Ocak
Android-Nutzerin
In der Schule war ich echt schlecht in Mathe, aber dank der App bin ich jetzt besser geworden. Ich bin so dankbar, dass ihr die App gemacht habt.
Greenlight Bonnie
Android-Nutzerin
sehr zuverlässige App, um deine Ideen in Mathe, Englisch und anderen verwandten Themen zu verbessern. bitte nutze diese App, wenn du in bestimmten Bereichen Schwierigkeiten hast, diese App ist dafür der Schlüssel. wünschte, ich hätte früher eine Bewertung geschrieben. und sie ist auch kostenlos, also mach dir darüber keine Sorgen.
Rohan U
Android-Nutzer
Ich weiß, dass viele Apps gefälschte Accounts nutzen, um ihre Bewertungen zu pushen, aber diese App verdient das alles. Ursprünglich hatte ich eine 4 in meinen Englisch-Klausuren und dieses Mal habe ich eine 2 bekommen. Ich wusste erst drei Tage vor der Klausur von dieser App und sie hat mir SEHR geholfen. Bitte vertrau mir wirklich und nutze sie, denn ich bin sicher, dass auch du Fortschritte sehen wirst.
Xander S
iOS-Nutzer
DIE QUIZZE UND KARTEIKARTEN SIND SO NÜTZLICH UND ICH LIEBE Knowunity KI. ES IST AUCH BUCHSTÄBLICH WIE CHATGPT ABER SCHLAUER!! HAT MIR AUCH BEI MEINEN MASCARA-PROBLEMEN GEHOLFEN!! SOWIE BEI MEINEN ECHTEN FÄCHERN! NATÜRLICH 😍😁😲🤑💗✨🎀😮
Elisha
iOS-Nutzer
Diese App ist echt der Hammer. Ich finde Lernen so langweilig, aber diese App macht es so einfach, alles zu organisieren und dann kannst du die kostenlose KI bitten, dich abzufragen, so gut, und du kannst einfach deine eigenen Sachen hochladen. sehr empfehlenswert als jemand, der gerade Probeklausuren schreibt
Paul T
iOS-Nutzer